mp-5838/Ba2SiS4/anharm

Harmonic properties

../../_images/fig_bandos14012.png

(a) Phonon dispersion and DOS

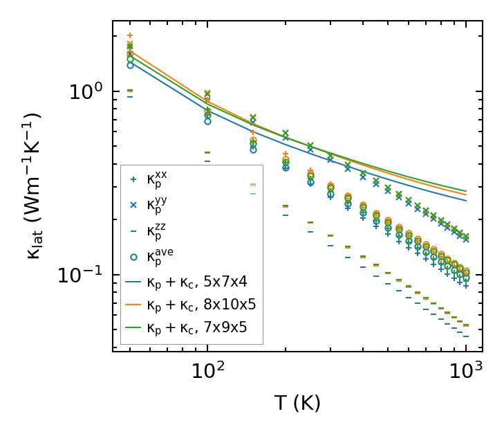
Thermal conductivity

Summary

../../_images/fig_kappa7642.png

(a) Temperature-dependent lattice thermal conductivity

../../_images/fig_times17476.png

(b) Computation time