mp-5966-2/Cd2SnO4/anharm

Equation of state

../../_images/fig_bm4880.png

(a) Equation of state

Harmonic properties

../../_images/fig_bandos_pr9780.png

(a) Phonon dispersion with participation ratio and DOS

../../_images/fig_thermo9780.png

(b) Thermodynamic properties

Grüneisen parameters

../../_images/fig_gru_all3914.png

(a) Grüneisen parameters

../../_images/fig_gruneisen3914.png

(b) Phonon dispersion with Grüneisen parameters

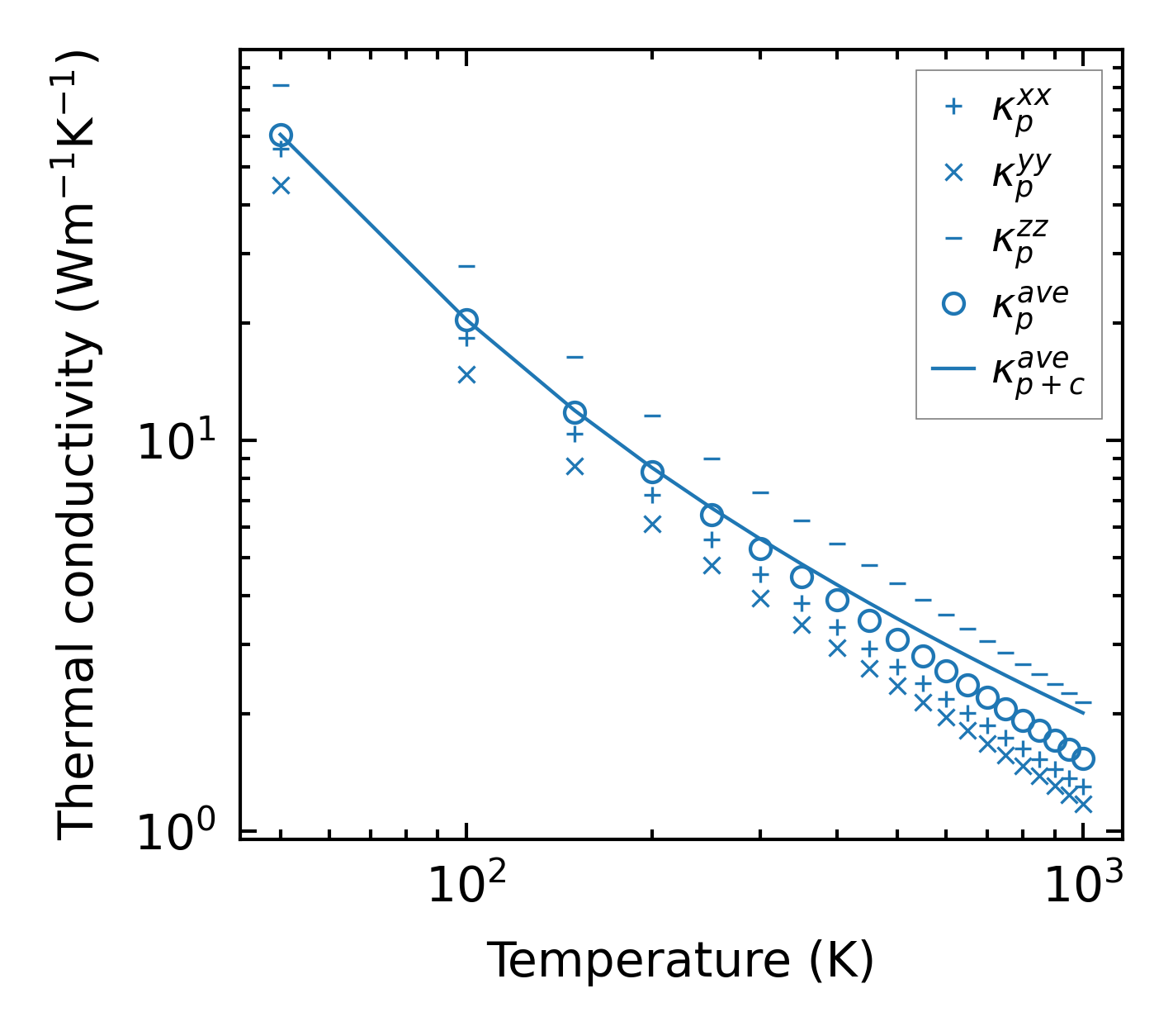
Thermal conductivity

3-phonon (LASSO) — q-mesh: 12x7x22, supercell: 2x1x4

../../_images/fig_kappa7381.png

(a) Temperature-dependent lattice thermal conductivity

../../_images/fig_kappa_vs_grain_size3965.png

(b) Peierls lattice thermal conductivity w.r.t grain size

Phonon lifetime and scattering rates

../../_images/fig_lifetime3877.png

(a) Phonon lifetime due to phonon-phonon scattering

../../_images/fig_scat_rates3876.png

(b) Phonon scattering rates

Cumulative and spectral thermal conductivity

../../_images/fig_cumu_frequency3877.png

(a) Spectral and cumulative thermal conductivity w.r.t frequency

../../_images/fig_cumu_mfp3876.png

(b) Spectral and cumulative thermal conductivity w.r.t MFP

Force constants

../../_images/fig_fc29537.png

(a) Force constants w.r.t atomic distance

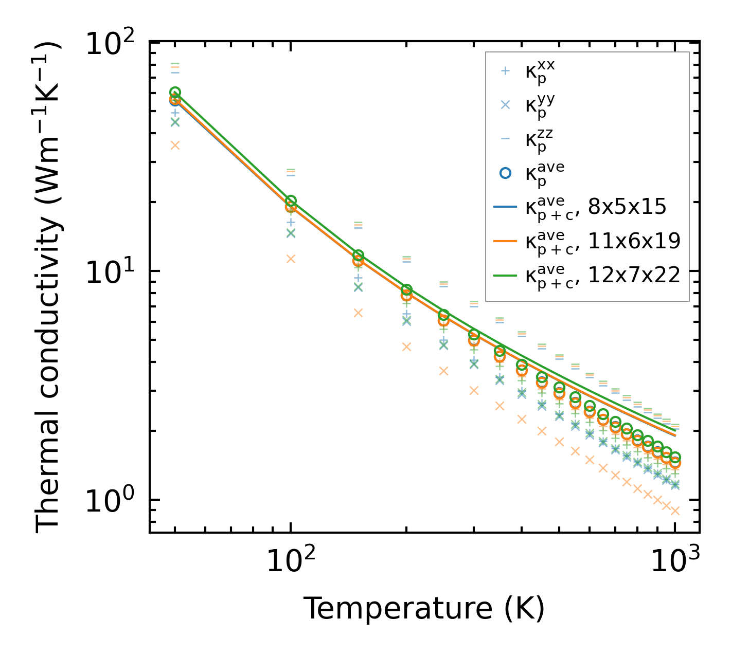
Summary

../../_images/fig_kappa7382.png

(a) Temperature-dependent lattice thermal conductivity

../../_images/fig_times16996.png

(b) Computation time