mp-5175/NaInO2/anharm

Harmonic properties

../../_images/fig_bandos_pr9912.png

(a) Phonon dispersion with participation ratio and DOS

../../_images/fig_thermo9912.png

(b) Thermodynamic properties

Grüneisen parameters

../../_images/fig_gru_all3975.png

(a) Grüneisen parameters

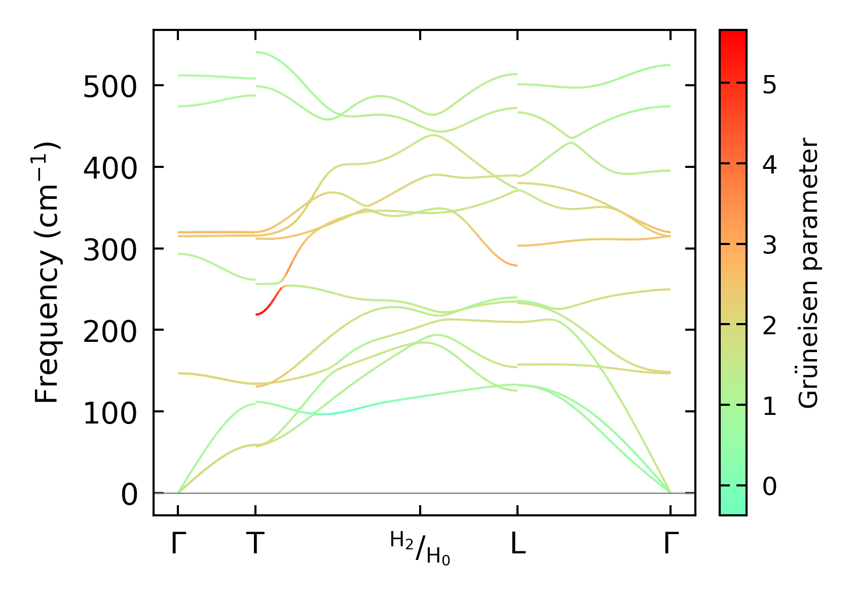
../../_images/fig_gruneisen3975.png

(b) Phonon dispersion with Grüneisen parameters

Thermal conductivity

3-phonon (LASSO) — q-mesh: 19x19x19, supercell: 3x3x1

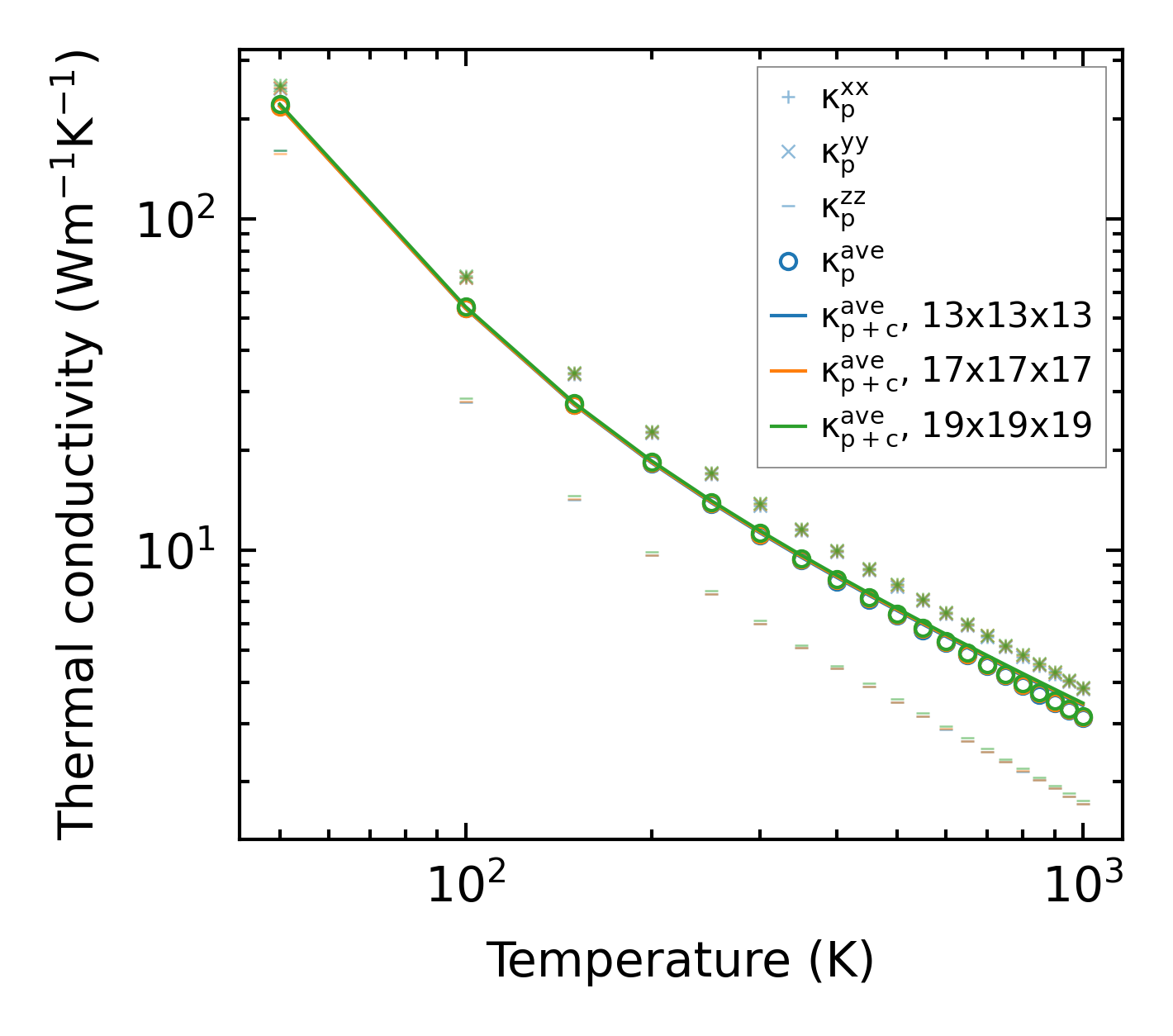
../../_images/fig_kappa7496.png

(a) Temperature-dependent lattice thermal conductivity

../../_images/fig_kappa_vs_grain_size4027.png

(b) Peierls lattice thermal conductivity w.r.t grain size

Phonon lifetime and scattering rates

../../_images/fig_lifetime3937.png

(a) Phonon lifetime due to phonon-phonon scattering

../../_images/fig_scat_rates3936.png

(b) Phonon scattering rates

Cumulative and spectral thermal conductivity

../../_images/fig_cumu_frequency3937.png

(a) Spectral and cumulative thermal conductivity w.r.t frequency

../../_images/fig_cumu_mfp3936.png

(b) Spectral and cumulative thermal conductivity w.r.t MFP

Force constants

../../_images/fig_fc29666.png

(a) Force constants w.r.t atomic distance

Summary

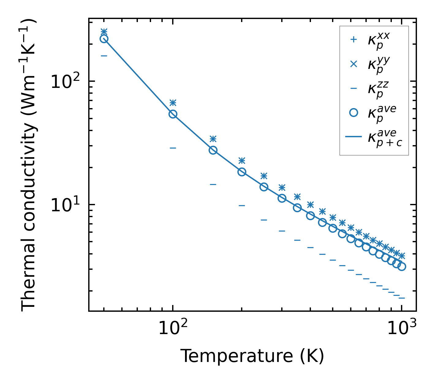
../../_images/fig_kappa7497.png

(a) Temperature-dependent lattice thermal conductivity

../../_images/fig_times17225.png

(b) Computation time