mp-5962/NaMgAs/anharm

Equation of state

../../_images/fig_bm4878.png

(a) Equation of state

Harmonic properties

../../_images/fig_bandos_pr9776.png

(a) Phonon dispersion with participation ratio and DOS

../../_images/fig_thermo9776.png

(b) Thermodynamic properties

Grüneisen parameters

../../_images/fig_gru_all3910.png

(a) Grüneisen parameters

../../_images/fig_gruneisen3910.png

(b) Phonon dispersion with Grüneisen parameters

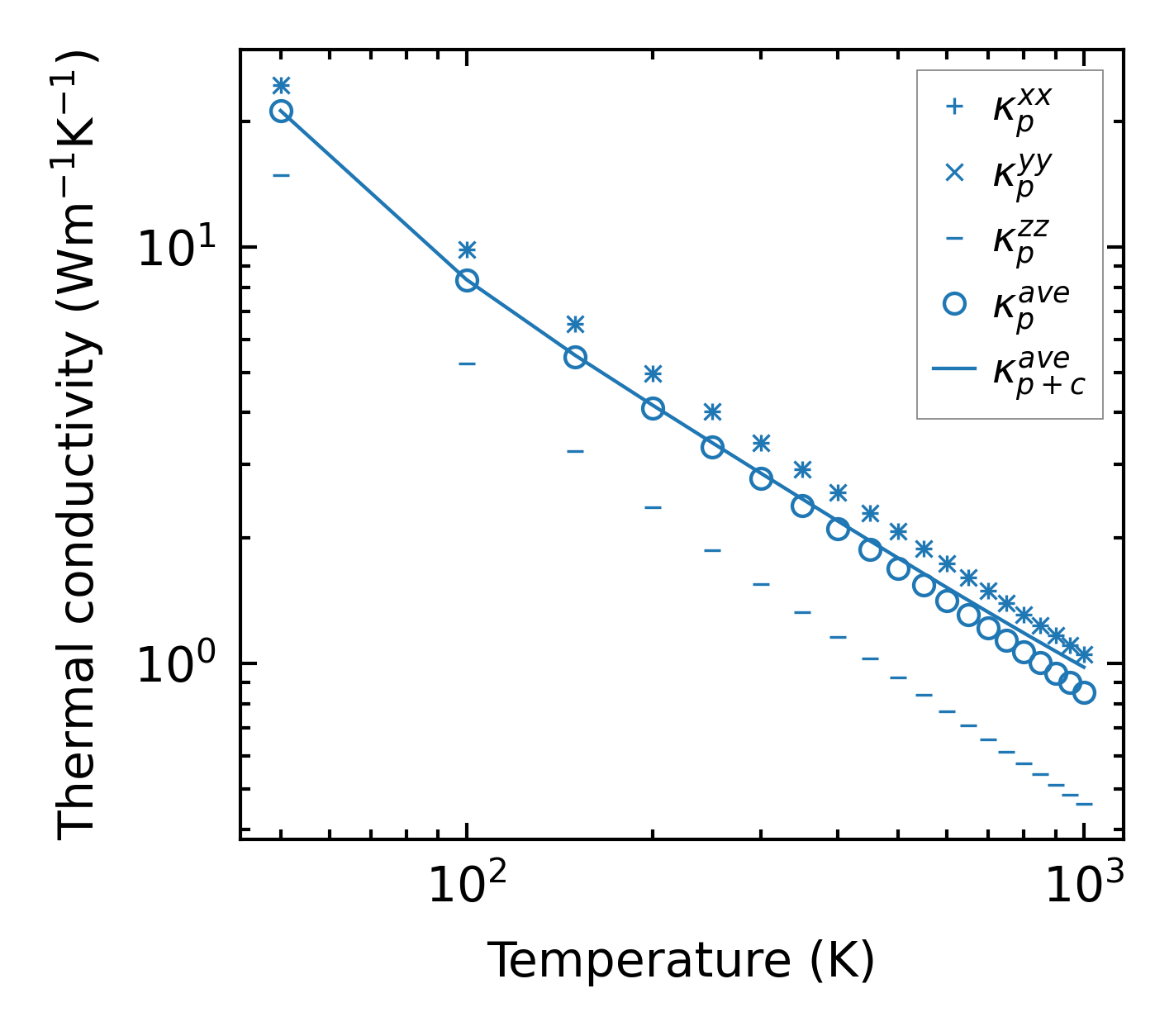
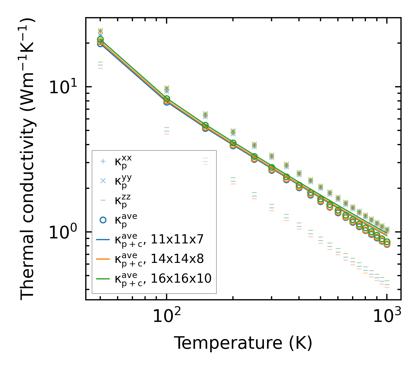
Thermal conductivity

3-phonon (LASSO) — q-mesh: 16x16x10, supercell: 3x3x2

../../_images/fig_kappa7373.png

(a) Temperature-dependent lattice thermal conductivity

../../_images/fig_kappa_vs_grain_size3961.png

(b) Peierls lattice thermal conductivity w.r.t grain size

Phonon lifetime and scattering rates

../../_images/fig_lifetime3873.png

(a) Phonon lifetime due to phonon-phonon scattering

../../_images/fig_scat_rates3872.png

(b) Phonon scattering rates

Cumulative and spectral thermal conductivity

../../_images/fig_cumu_frequency3873.png

(a) Spectral and cumulative thermal conductivity w.r.t frequency

../../_images/fig_cumu_mfp3872.png

(b) Spectral and cumulative thermal conductivity w.r.t MFP

Force constants

../../_images/fig_fc29533.png

(a) Force constants w.r.t atomic distance

Summary

../../_images/fig_kappa7374.png

(a) Temperature-dependent lattice thermal conductivity

../../_images/fig_times16992.png

(b) Computation time