mp-5477/Na5NbO5/anharm

Harmonic properties

../../_images/fig_bandos_pr9983.png

(a) Phonon dispersion with participation ratio and DOS

../../_images/fig_thermo9983.png

(b) Thermodynamic properties

Grüneisen parameters

../../_images/fig_gru_all3997.png

(a) Grüneisen parameters

../../_images/fig_gruneisen3997.png

(b) Phonon dispersion with Grüneisen parameters

Thermal conductivity

3-phonon (LASSO) — q-mesh: 12x12x7, supercell: 2x1x1

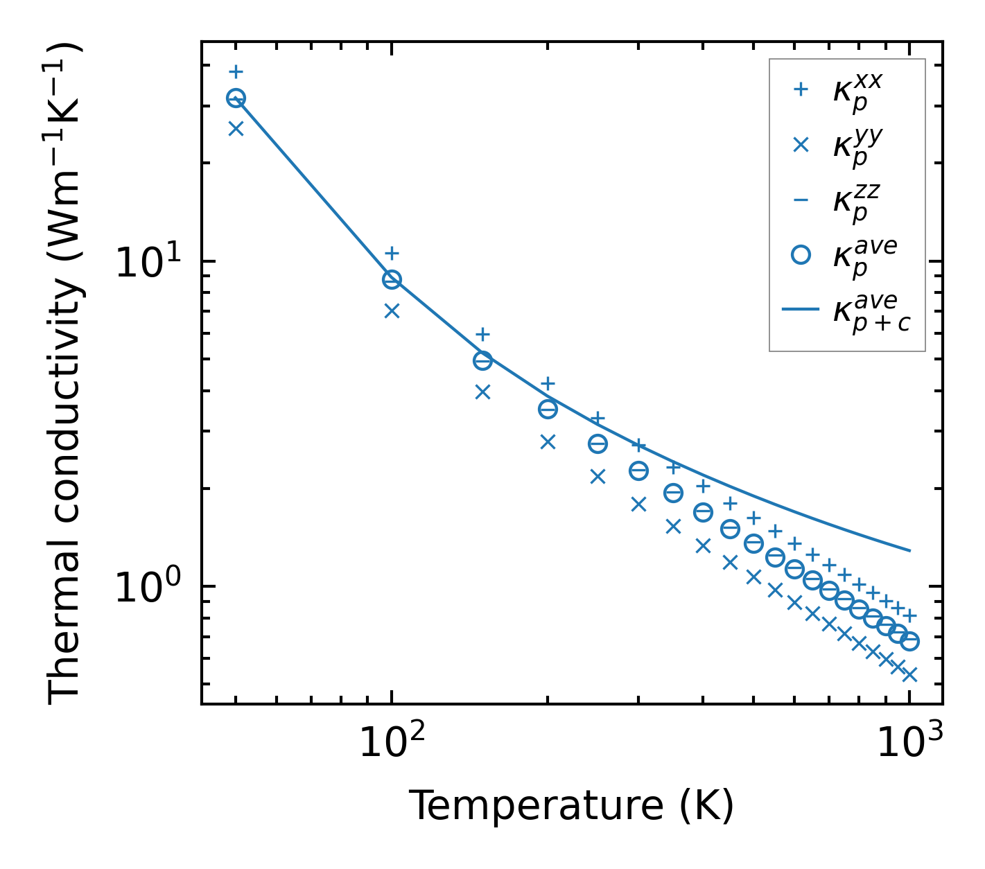
../../_images/fig_kappa7538.png

(a) Temperature-dependent lattice thermal conductivity

../../_images/fig_kappa_vs_grain_size4050.png

(b) Peierls lattice thermal conductivity w.r.t grain size

Phonon lifetime and scattering rates

../../_images/fig_lifetime3959.png

(a) Phonon lifetime due to phonon-phonon scattering

../../_images/fig_scat_rates3958.png

(b) Phonon scattering rates

Cumulative and spectral thermal conductivity

../../_images/fig_cumu_frequency3959.png

(a) Spectral and cumulative thermal conductivity w.r.t frequency

../../_images/fig_cumu_mfp3958.png

(b) Spectral and cumulative thermal conductivity w.r.t MFP

Force constants

../../_images/fig_fc29736.png

(a) Force constants w.r.t atomic distance

Summary

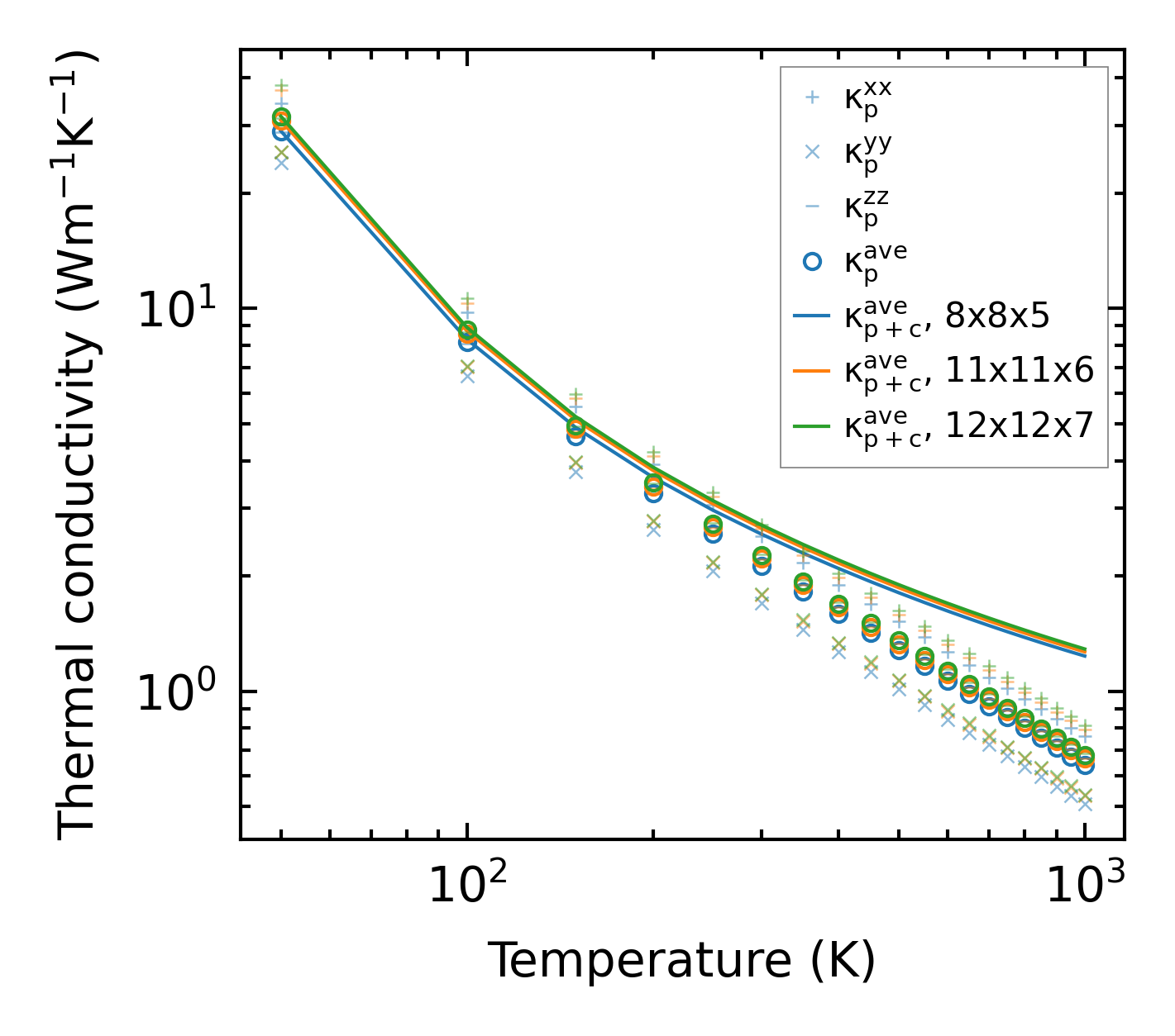
../../_images/fig_kappa7539.png

(a) Temperature-dependent lattice thermal conductivity

../../_images/fig_times17340.png

(b) Computation time