mp-5955-2/NaSbF6/harm

Equation of state

../../_images/fig_bm4876.png

(a) Equation of state

Harmonic properties

../../_images/fig_bandos_pr9775.png

(a) Phonon dispersion with participation ratio and DOS

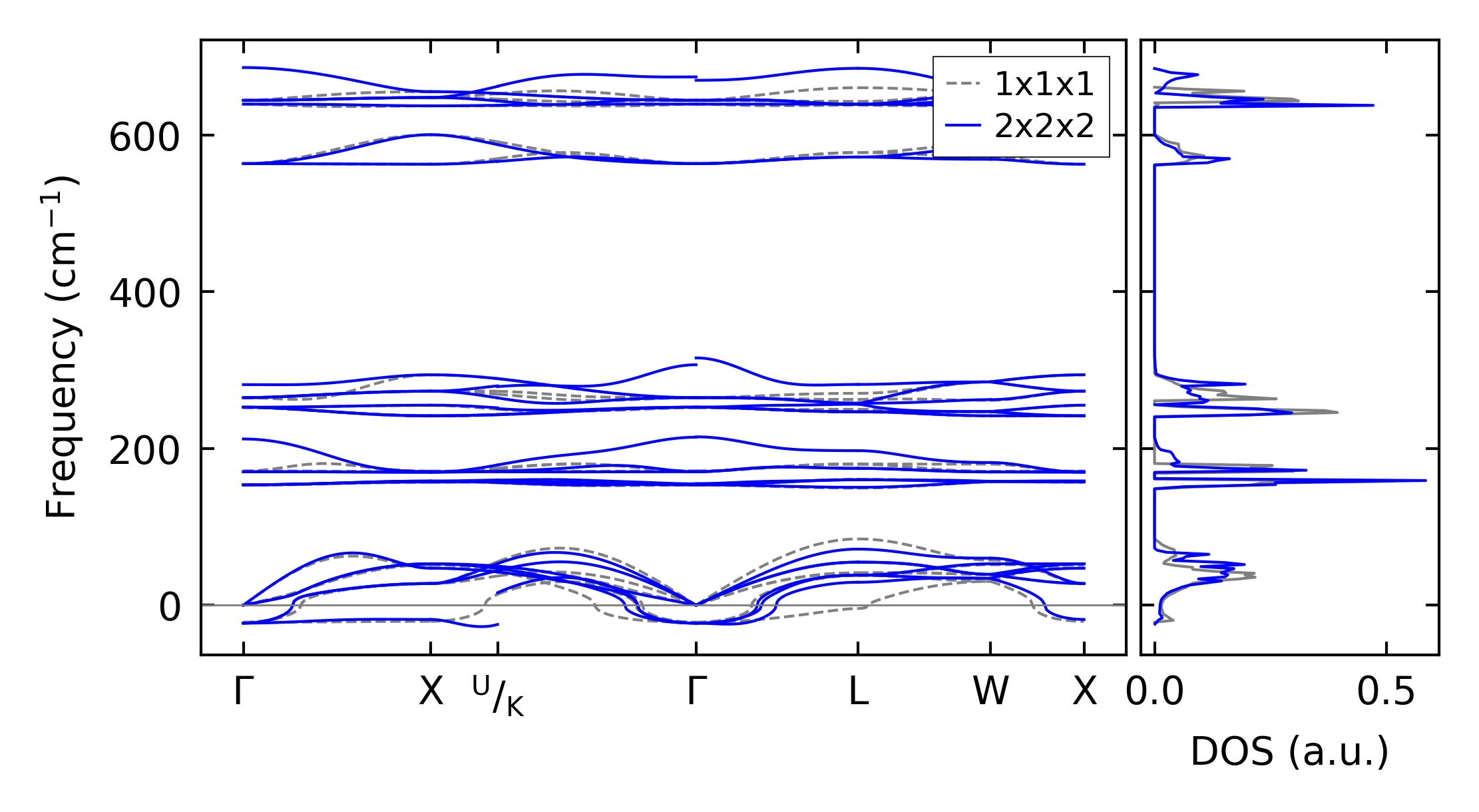
../../_images/fig_bandos13649.png

(b) Phonon dispersion and DOS

../../_images/fig_thermo9775.png

(c) Thermodynamic properties

Force constants

../../_images/fig_fc29532.png

(a) Force constants w.r.t atomic distance

Summary

../../_images/fig_times16989.png

(a) Computation time