mp-5078-2/SrZnF4/anharm

Equation of state

../../_images/fig_bm5142.png

(a) Equation of state

Harmonic properties

../../_images/fig_bandos_pr10255.png

(a) Phonon dispersion with participation ratio and DOS

../../_images/fig_bandos14188.png

(b) Phonon dispersion and DOS

../../_images/fig_thermo10255.png

(c) Thermodynamic properties

Grüneisen parameters

../../_images/fig_gru_all4139.png

(a) Grüneisen parameters

../../_images/fig_gruneisen4139.png

(b) Phonon dispersion with Grüneisen parameters

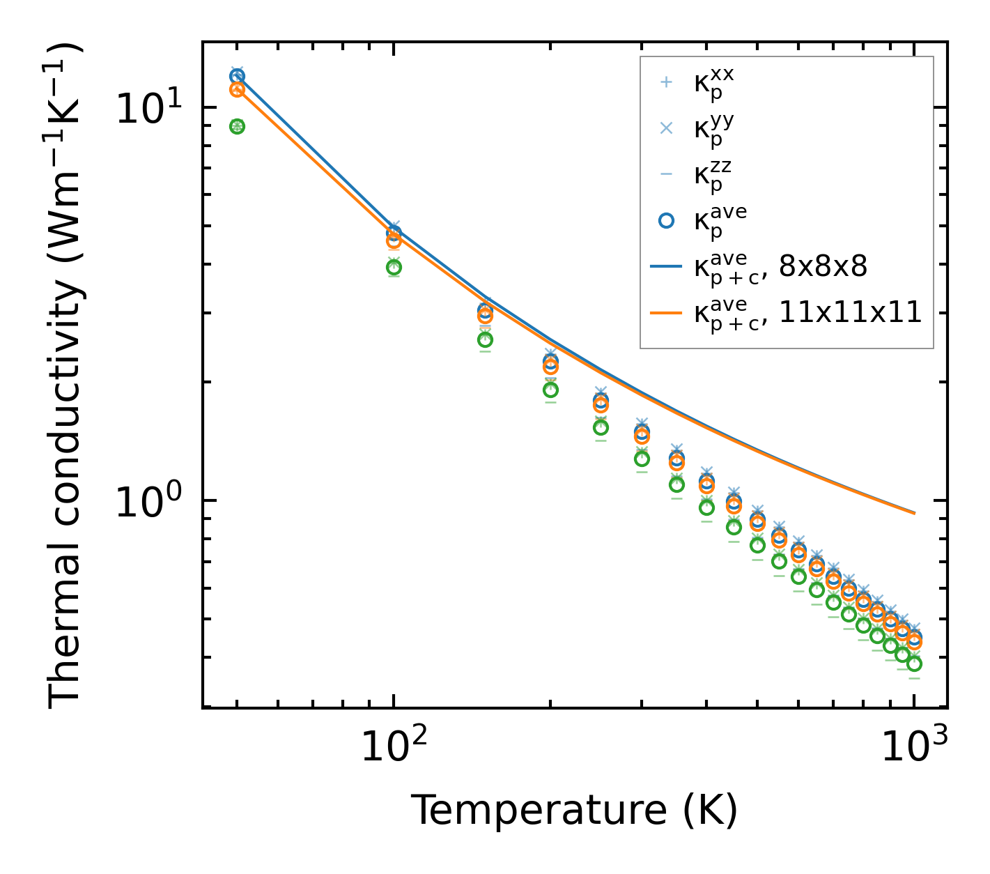
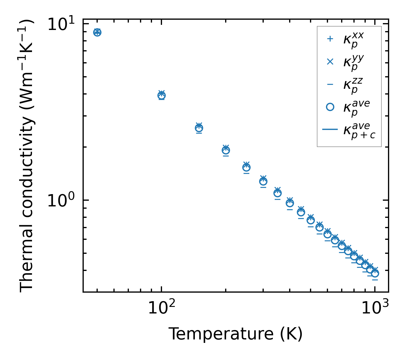
Thermal conductivity

3-phonon (LASSO) — q-mesh: 12x12x12, supercell: 2x2x1

../../_images/fig_kappa7804.png

(a) Temperature-dependent lattice thermal conductivity

../../_images/fig_kappa_vs_grain_size4194.png

(b) Peierls lattice thermal conductivity w.r.t grain size

Phonon lifetime and scattering rates

../../_images/fig_lifetime4101.png

(a) Phonon lifetime due to phonon-phonon scattering

../../_images/fig_scat_rates4100.png

(b) Phonon scattering rates

Cumulative and spectral thermal conductivity

../../_images/fig_cumu_frequency4101.png

(a) Spectral and cumulative thermal conductivity w.r.t frequency

../../_images/fig_cumu_mfp4100.png

(b) Spectral and cumulative thermal conductivity w.r.t MFP

Force constants

../../_images/fig_fc210005.png

(a) Force constants w.r.t atomic distance

Summary

../../_images/fig_kappa7805.png

(a) Temperature-dependent lattice thermal conductivity

../../_images/fig_times17725.png

(b) Computation time