mp-5122/Na3AlP2/anharm

Harmonic properties

../../_images/fig_bandos_pr10263.png

(a) Phonon dispersion with participation ratio and DOS

../../_images/fig_thermo10263.png

(b) Thermodynamic properties

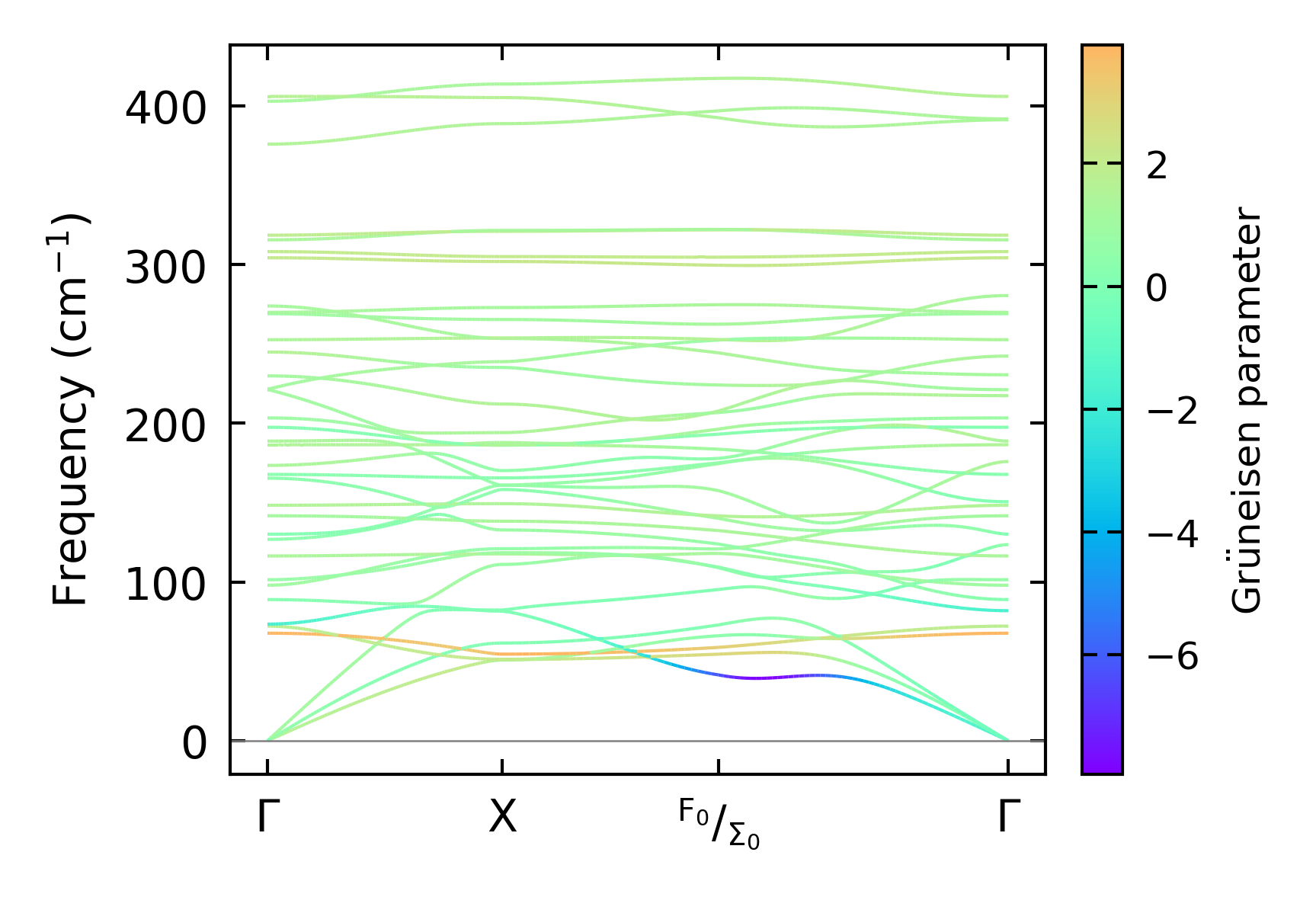
Grüneisen parameters

../../_images/fig_gru_all4143.png

(a) Grüneisen parameters

../../_images/fig_gruneisen4143.png

(b) Phonon dispersion with Grüneisen parameters

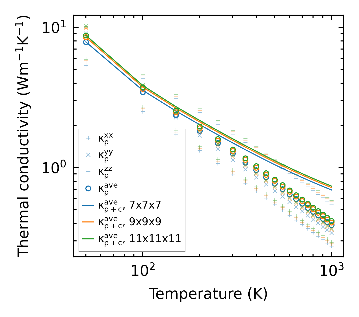
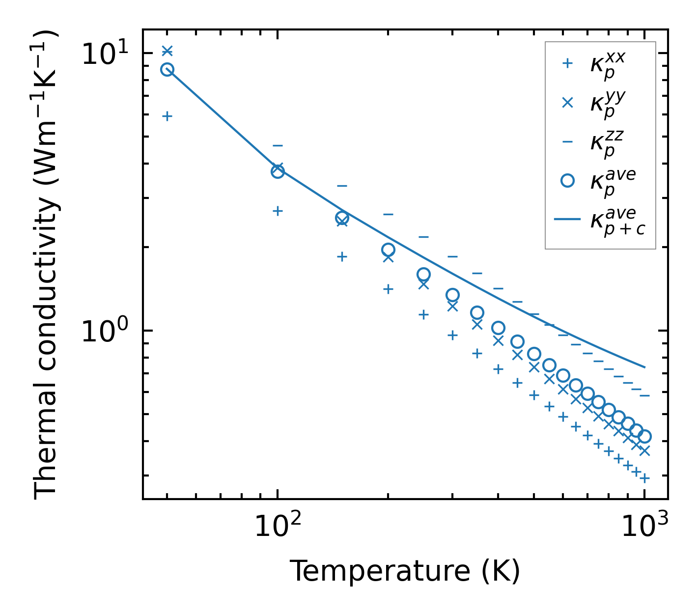
Thermal conductivity

3-phonon (LASSO) — q-mesh: 11x11x11, supercell: 2x1x3

../../_images/fig_kappa7812.png

(a) Temperature-dependent lattice thermal conductivity

../../_images/fig_kappa_vs_grain_size4198.png

(b) Peierls lattice thermal conductivity w.r.t grain size

Phonon lifetime and scattering rates

../../_images/fig_lifetime4105.png

(a) Phonon lifetime due to phonon-phonon scattering

../../_images/fig_scat_rates4104.png

(b) Phonon scattering rates

Cumulative and spectral thermal conductivity

../../_images/fig_cumu_frequency4105.png

(a) Spectral and cumulative thermal conductivity w.r.t frequency

../../_images/fig_cumu_mfp4104.png

(b) Spectral and cumulative thermal conductivity w.r.t MFP

Force constants

../../_images/fig_fc210013.png

(a) Force constants w.r.t atomic distance

Summary

../../_images/fig_kappa7813.png

(a) Temperature-dependent lattice thermal conductivity

../../_images/fig_times17735.png

(b) Computation time