mp-5884/TmPO4/anharm

Harmonic properties

../../_images/fig_bandos_pr9756.png

(a) Phonon dispersion with participation ratio and DOS

../../_images/fig_thermo9756.png

(b) Thermodynamic properties

Grüneisen parameters

../../_images/fig_gru_all3899.png

(a) Grüneisen parameters

../../_images/fig_gruneisen3899.png

(b) Phonon dispersion with Grüneisen parameters

Thermal conductivity

3-phonon (LASSO) — q-mesh: 13x13x13, supercell: 1x1x2

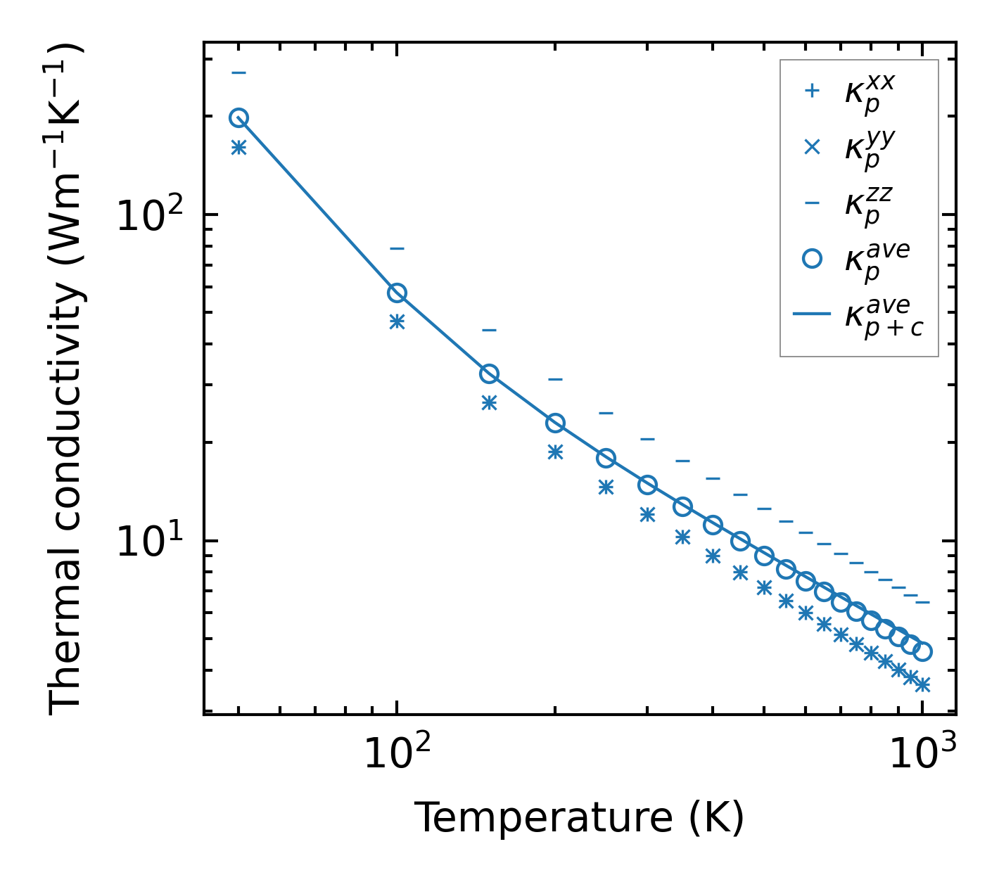
../../_images/fig_kappa7351.png

(a) Temperature-dependent lattice thermal conductivity

../../_images/fig_kappa_vs_grain_size3950.png

(b) Peierls lattice thermal conductivity w.r.t grain size

Phonon lifetime and scattering rates

../../_images/fig_lifetime3862.png

(a) Phonon lifetime due to phonon-phonon scattering

../../_images/fig_scat_rates3861.png

(b) Phonon scattering rates

Cumulative and spectral thermal conductivity

../../_images/fig_cumu_frequency3862.png

(a) Spectral and cumulative thermal conductivity w.r.t frequency

../../_images/fig_cumu_mfp3861.png

(b) Spectral and cumulative thermal conductivity w.r.t MFP

Force constants

../../_images/fig_fc29514.png

(a) Force constants w.r.t atomic distance

Summary

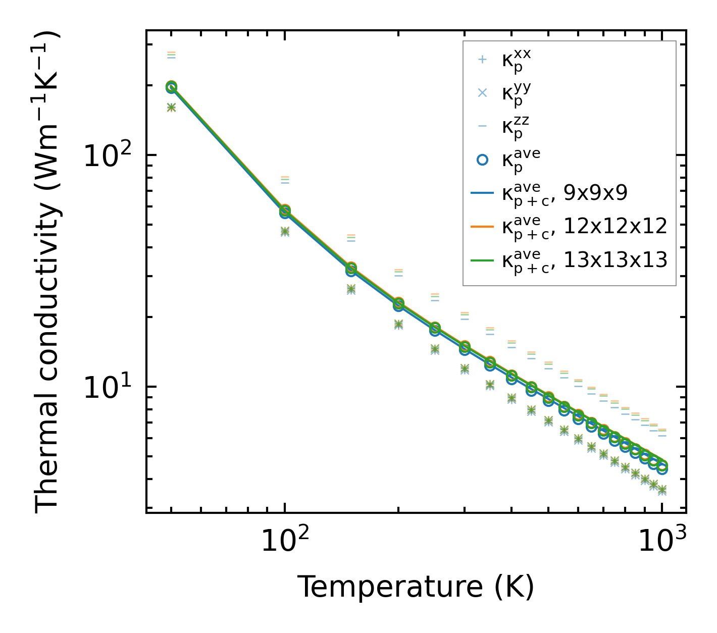
../../_images/fig_kappa7352.png

(a) Temperature-dependent lattice thermal conductivity

../../_images/fig_times16961.png

(b) Computation time