mp-5587/Ba2ZnS3/anharm

Harmonic properties

../../_images/fig_bandos_pr10011.png

(a) Phonon dispersion with participation ratio and DOS

../../_images/fig_thermo10011.png

(b) Thermodynamic properties

Grüneisen parameters

../../_images/fig_gru_all4015.png

(a) Grüneisen parameters

../../_images/fig_gruneisen4015.png

(b) Phonon dispersion with Grüneisen parameters

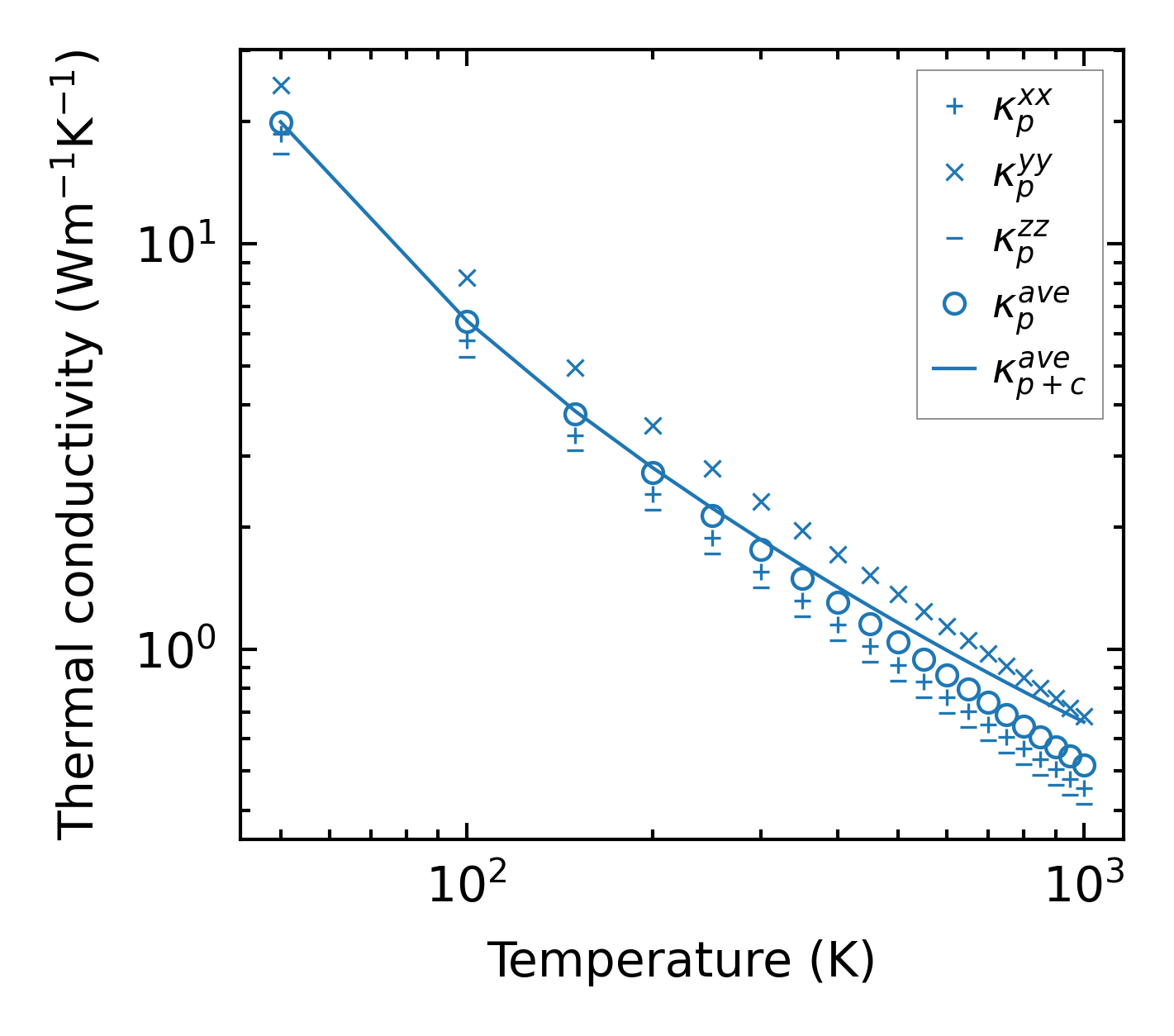
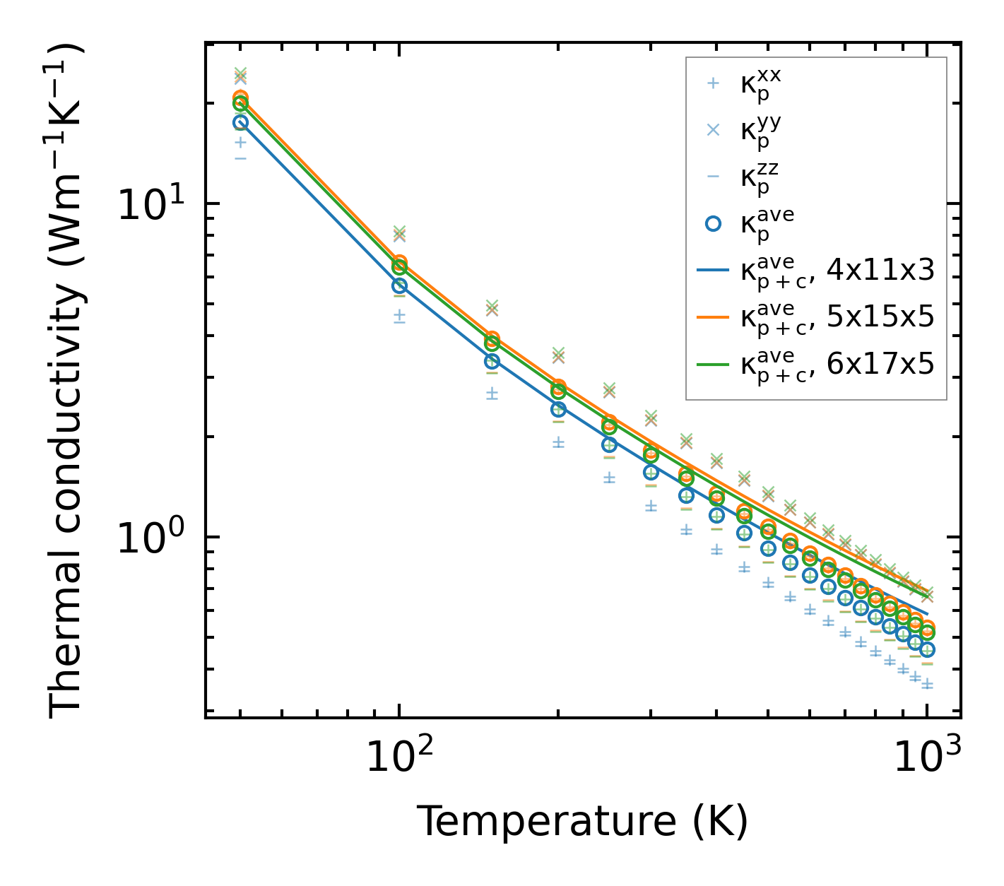
Thermal conductivity

3-phonon (LASSO) — q-mesh: 6x17x5, supercell: 2x3x1

../../_images/fig_kappa7572.png

(a) Temperature-dependent lattice thermal conductivity

../../_images/fig_kappa_vs_grain_size4068.png

(b) Peierls lattice thermal conductivity w.r.t grain size

Phonon lifetime and scattering rates

../../_images/fig_lifetime3977.png

(a) Phonon lifetime due to phonon-phonon scattering

../../_images/fig_scat_rates3976.png

(b) Phonon scattering rates

Cumulative and spectral thermal conductivity

../../_images/fig_cumu_frequency3977.png

(a) Spectral and cumulative thermal conductivity w.r.t frequency

../../_images/fig_cumu_mfp3976.png

(b) Spectral and cumulative thermal conductivity w.r.t MFP

Force constants

../../_images/fig_fc29764.png

(a) Force constants w.r.t atomic distance

Summary

../../_images/fig_kappa7573.png

(a) Temperature-dependent lattice thermal conductivity

../../_images/fig_times17380.png

(b) Computation time