mp-5784/Na2GeO3/anharm

Harmonic properties

../../_images/fig_bandos_pr10063.png

(a) Phonon dispersion with participation ratio and DOS

../../_images/fig_thermo10063.png

(b) Thermodynamic properties

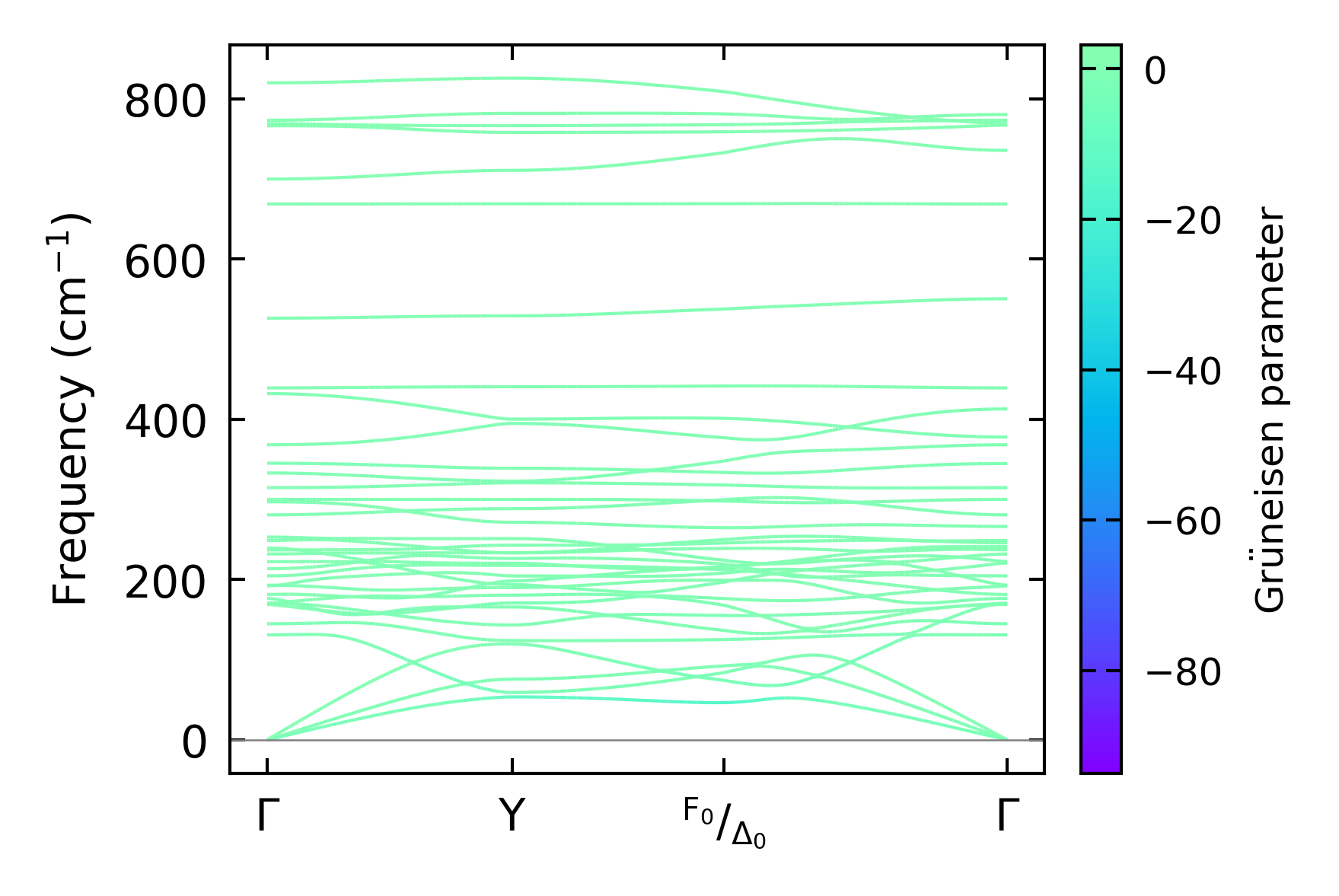
Grüneisen parameters

../../_images/fig_gru_all4040.png

(a) Grüneisen parameters

../../_images/fig_gruneisen4040.png

(b) Phonon dispersion with Grüneisen parameters

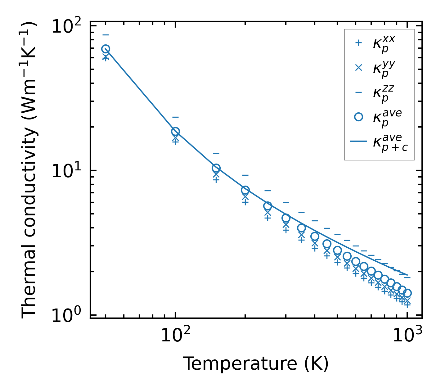
Thermal conductivity

3-phonon (LASSO) — q-mesh: 12x12x15, supercell: 1x2x3

../../_images/fig_kappa7621.png

(a) Temperature-dependent lattice thermal conductivity

../../_images/fig_kappa_vs_grain_size4094.png

(b) Peierls lattice thermal conductivity w.r.t grain size

Phonon lifetime and scattering rates

../../_images/fig_lifetime4002.png

(a) Phonon lifetime due to phonon-phonon scattering

../../_images/fig_scat_rates4001.png

(b) Phonon scattering rates

Cumulative and spectral thermal conductivity

../../_images/fig_cumu_frequency4002.png

(a) Spectral and cumulative thermal conductivity w.r.t frequency

../../_images/fig_cumu_mfp4001.png

(b) Spectral and cumulative thermal conductivity w.r.t MFP

Force constants

../../_images/fig_fc29816.png

(a) Force constants w.r.t atomic distance

Summary

../../_images/fig_kappa7622.png

(a) Temperature-dependent lattice thermal conductivity

../../_images/fig_times17450.png

(b) Computation time