mp-5914-2/Li3BN2/anharm

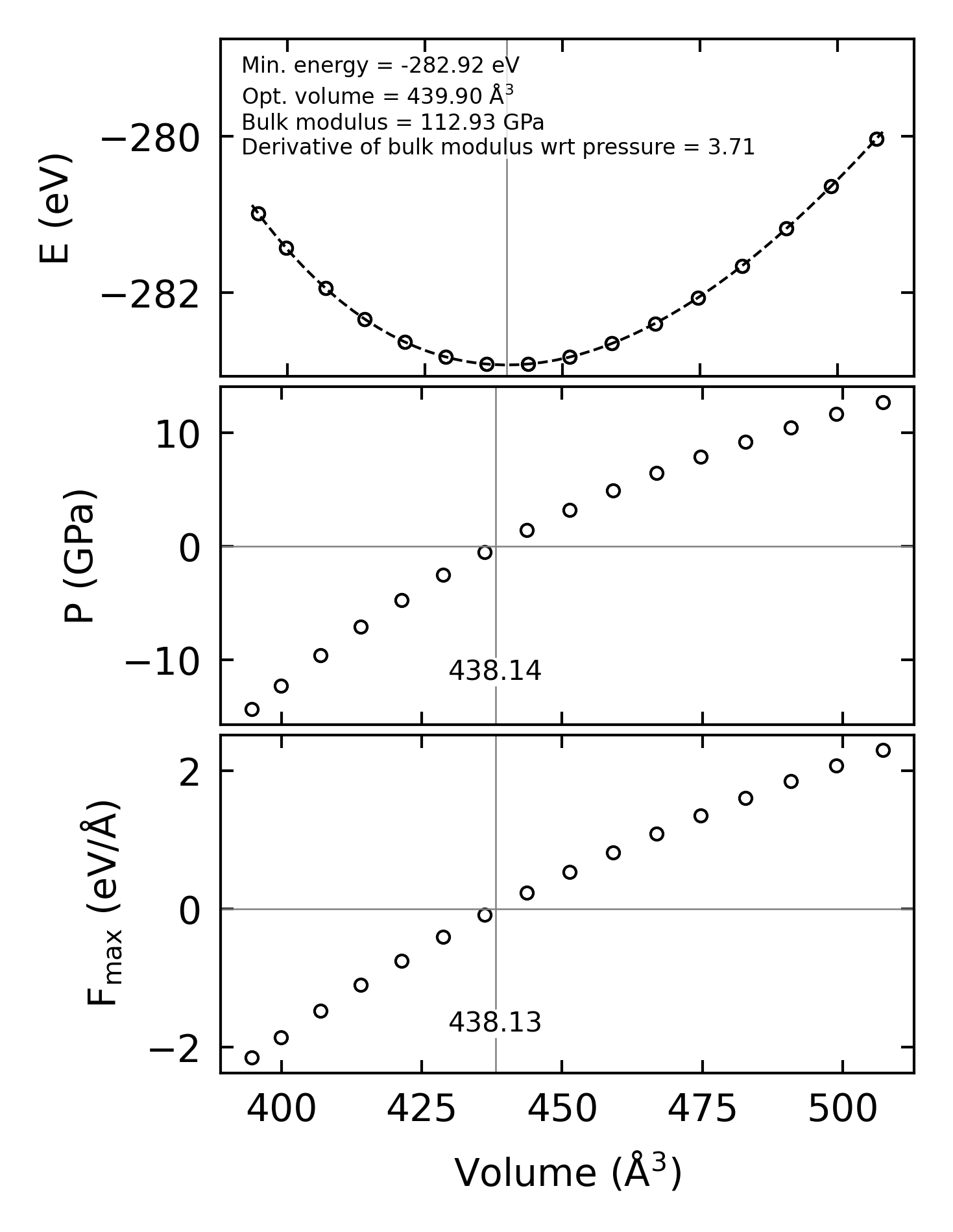
Equation of state

../../_images/fig_bm4871.png

(a) Equation of state

Harmonic properties

../../_images/fig_bandos_pr9765.png

(a) Phonon dispersion with participation ratio and DOS

../../_images/fig_thermo9765.png

(b) Thermodynamic properties

Grüneisen parameters

../../_images/fig_gru_all3905.png

(a) Grüneisen parameters

../../_images/fig_gruneisen3905.png

(b) Phonon dispersion with Grüneisen parameters

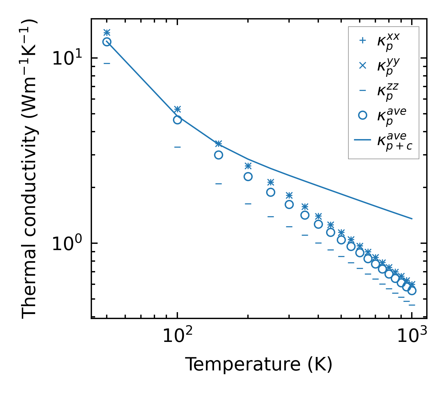
Thermal conductivity

3-phonon (LASSO) — q-mesh: 11x11x11, supercell: 1x1x1

../../_images/fig_kappa7363.png

(a) Temperature-dependent lattice thermal conductivity

../../_images/fig_kappa_vs_grain_size3956.png

(b) Peierls lattice thermal conductivity w.r.t grain size

Phonon lifetime and scattering rates

../../_images/fig_lifetime3868.png

(a) Phonon lifetime due to phonon-phonon scattering

../../_images/fig_scat_rates3867.png

(b) Phonon scattering rates

Cumulative and spectral thermal conductivity

../../_images/fig_cumu_frequency3868.png

(a) Spectral and cumulative thermal conductivity w.r.t frequency

../../_images/fig_cumu_mfp3867.png

(b) Spectral and cumulative thermal conductivity w.r.t MFP

Force constants

../../_images/fig_fc29523.png

(a) Force constants w.r.t atomic distance

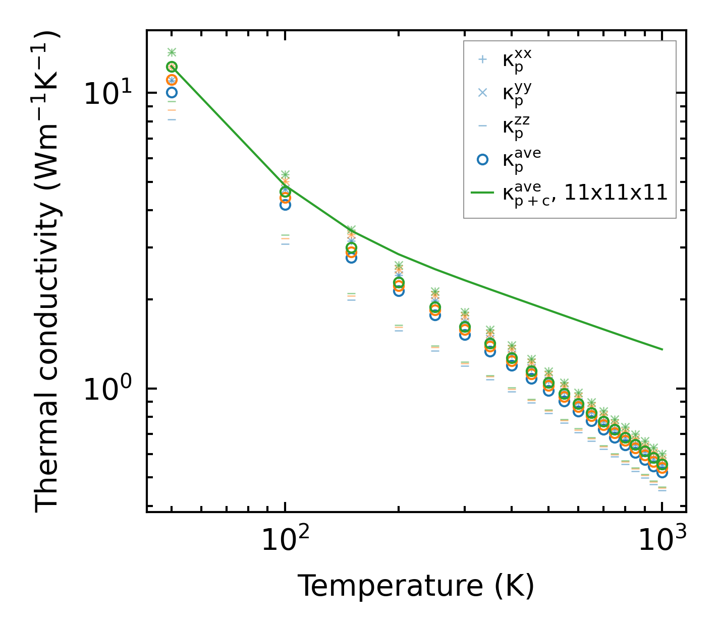
Summary

../../_images/fig_kappa7364.png

(a) Temperature-dependent lattice thermal conductivity

../../_images/fig_times16977.png

(b) Computation time