mp-5081/SmCuS2/anharm

Harmonic properties

../../_images/fig_bandos_pr10256.png

(a) Phonon dispersion with participation ratio and DOS

../../_images/fig_thermo10256.png

(b) Thermodynamic properties

Grüneisen parameters

../../_images/fig_gru_all4140.png

(a) Grüneisen parameters

../../_images/fig_gruneisen4140.png

(b) Phonon dispersion with Grüneisen parameters

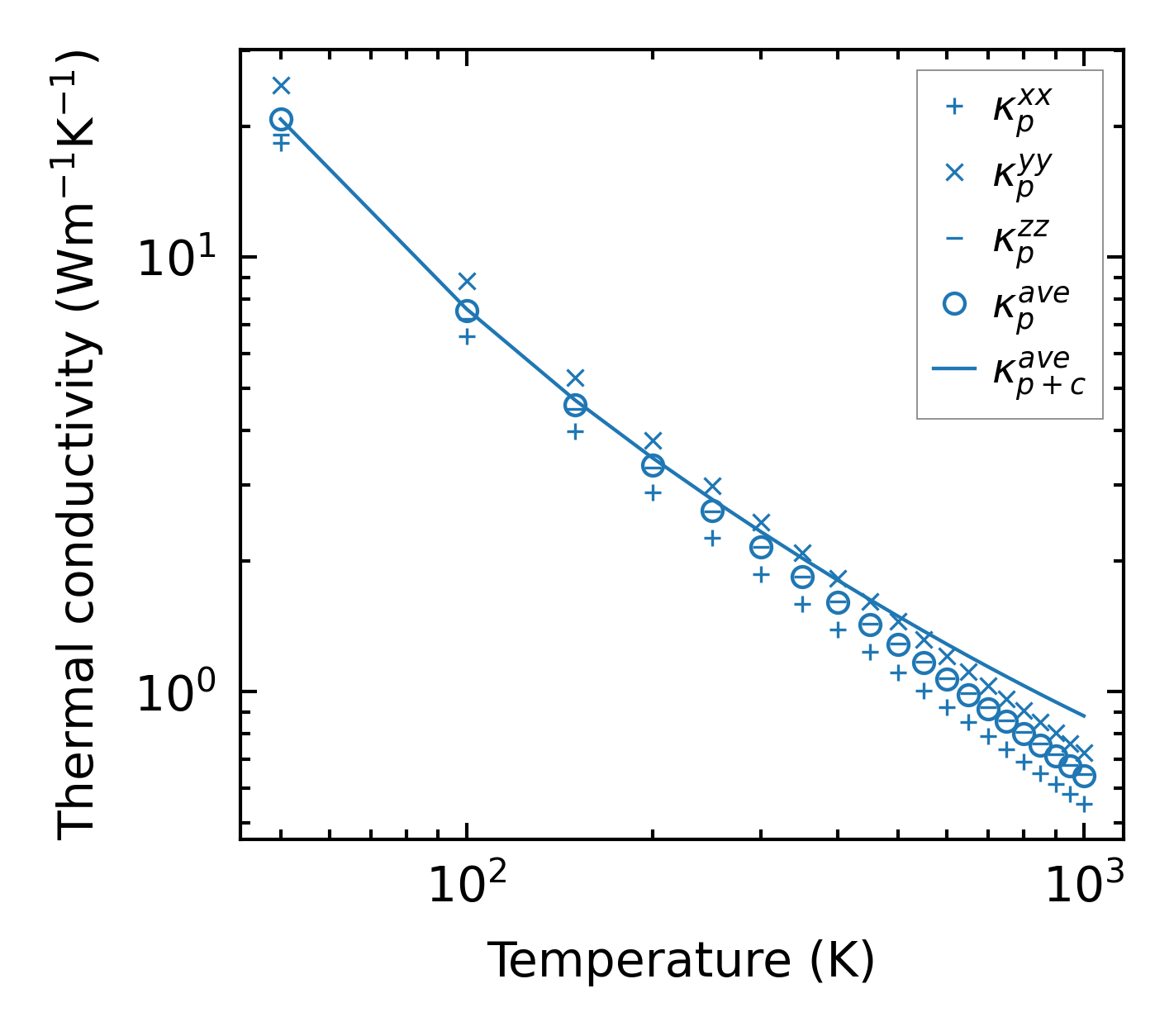
Thermal conductivity

3-phonon (LASSO) — q-mesh: 11x10x10, supercell: 2x2x2

../../_images/fig_kappa7806.png

(a) Temperature-dependent lattice thermal conductivity

../../_images/fig_kappa_vs_grain_size4195.png

(b) Peierls lattice thermal conductivity w.r.t grain size

Phonon lifetime and scattering rates

../../_images/fig_lifetime4102.png

(a) Phonon lifetime due to phonon-phonon scattering

../../_images/fig_scat_rates4101.png

(b) Phonon scattering rates

Cumulative and spectral thermal conductivity

../../_images/fig_cumu_frequency4102.png

(a) Spectral and cumulative thermal conductivity w.r.t frequency

../../_images/fig_cumu_mfp4101.png

(b) Spectral and cumulative thermal conductivity w.r.t MFP

Force constants

../../_images/fig_fc210006.png

(a) Force constants w.r.t atomic distance

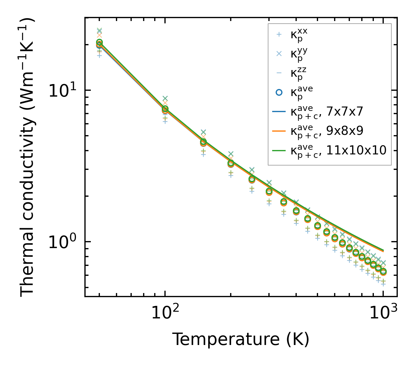
Summary

../../_images/fig_kappa7807.png

(a) Temperature-dependent lattice thermal conductivity

../../_images/fig_times17728.png

(b) Computation time