mp-5924/MgSiO3/anharm

Harmonic properties

../../_images/fig_bandos_pr9767.png

(a) Phonon dispersion with participation ratio and DOS

../../_images/fig_thermo9767.png

(b) Thermodynamic properties

Grüneisen parameters

../../_images/fig_gru_all3907.png

(a) Grüneisen parameters

../../_images/fig_gruneisen3907.png

(b) Phonon dispersion with Grüneisen parameters

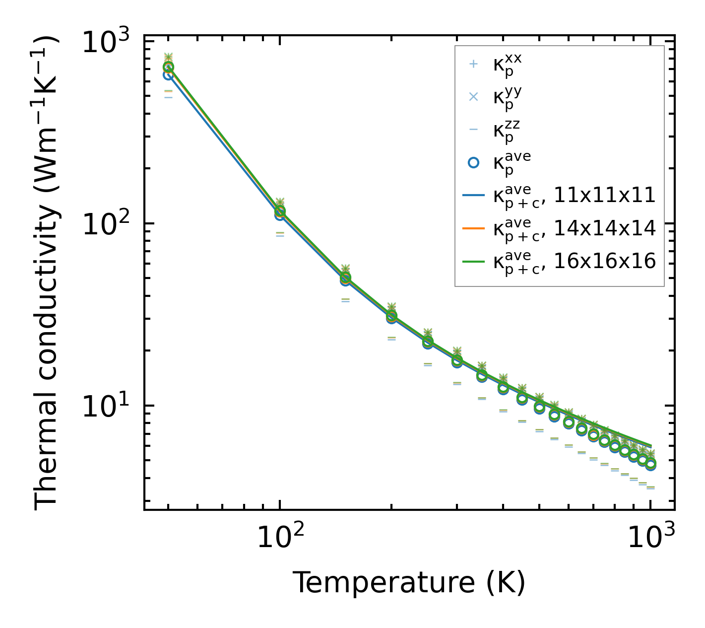
Thermal conductivity

3-phonon (LASSO) — q-mesh: 16x16x16, supercell: 2x2x1

../../_images/fig_kappa7367.png

(a) Temperature-dependent lattice thermal conductivity

../../_images/fig_kappa_vs_grain_size3958.png

(b) Peierls lattice thermal conductivity w.r.t grain size

Phonon lifetime and scattering rates

../../_images/fig_lifetime3870.png

(a) Phonon lifetime due to phonon-phonon scattering

../../_images/fig_scat_rates3869.png

(b) Phonon scattering rates

Cumulative and spectral thermal conductivity

../../_images/fig_cumu_frequency3870.png

(a) Spectral and cumulative thermal conductivity w.r.t frequency

../../_images/fig_cumu_mfp3869.png

(b) Spectral and cumulative thermal conductivity w.r.t MFP

Force constants

../../_images/fig_fc29524.png

(a) Force constants w.r.t atomic distance

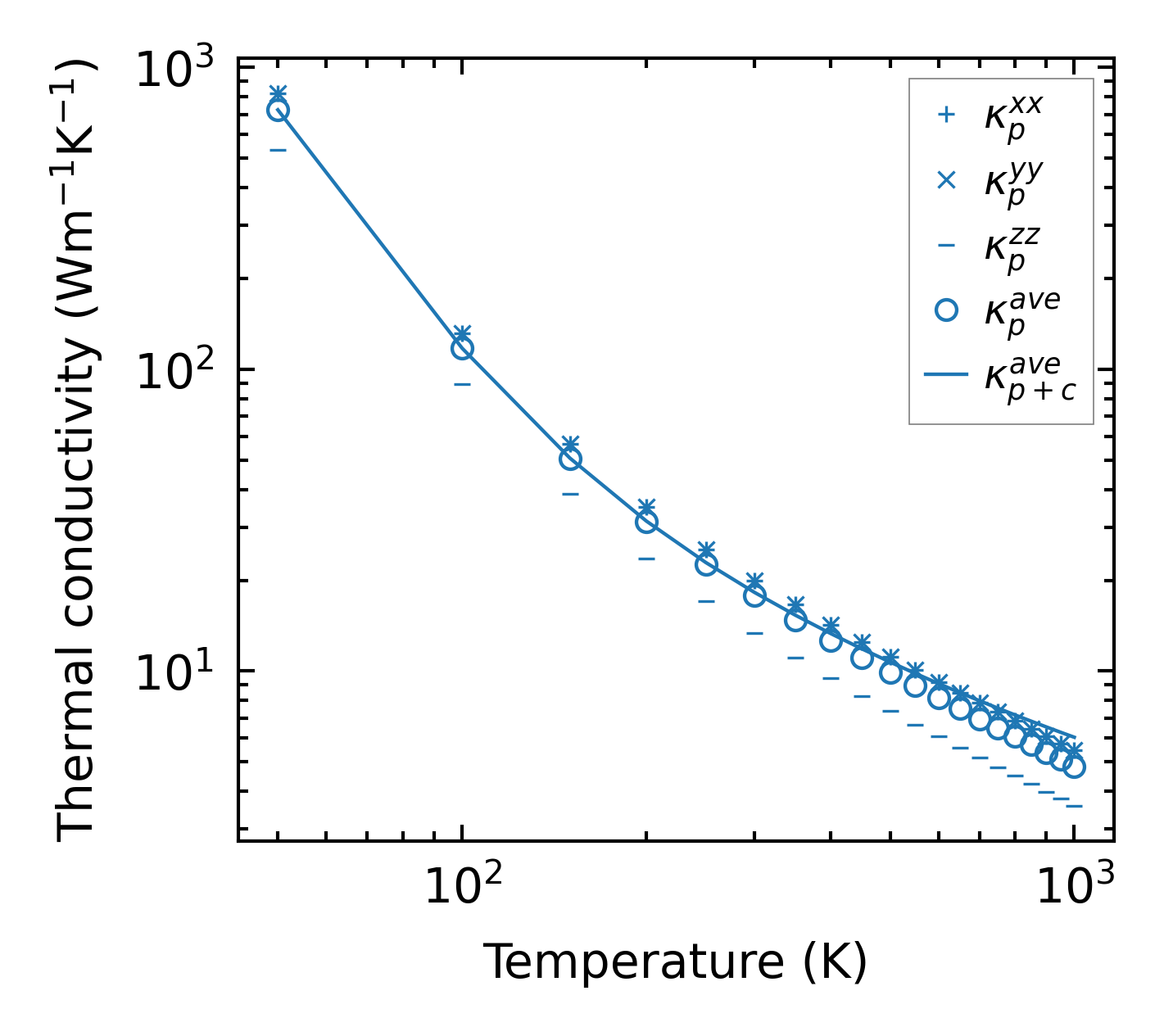
Summary

../../_images/fig_kappa7368.png

(a) Temperature-dependent lattice thermal conductivity

../../_images/fig_times16981.png

(b) Computation time