mp-5546-2/Cu8GeS6/anharm

Equation of state

../../_images/fig_bm5003.png

(a) Equation of state

Harmonic properties

../../_images/fig_bandos_pr10004.png

(a) Phonon dispersion with participation ratio and DOS

../../_images/fig_thermo10004.png

(b) Thermodynamic properties

Grüneisen parameters

../../_images/fig_gru_all4010.png

(a) Grüneisen parameters

../../_images/fig_gruneisen4010.png

(b) Phonon dispersion with Grüneisen parameters

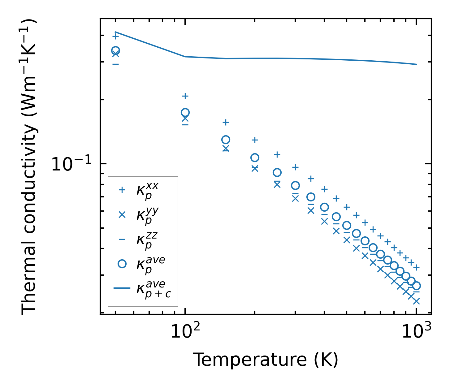
Thermal conductivity

3-phonon (LASSO) — q-mesh: 10x10x7, supercell: 2x2x1

../../_images/fig_kappa7562.png

(a) Temperature-dependent lattice thermal conductivity

../../_images/fig_kappa_vs_grain_size4063.png

(b) Peierls lattice thermal conductivity w.r.t grain size

Phonon lifetime and scattering rates

../../_images/fig_lifetime3972.png

(a) Phonon lifetime due to phonon-phonon scattering

../../_images/fig_scat_rates3971.png

(b) Phonon scattering rates

Cumulative and spectral thermal conductivity

../../_images/fig_cumu_frequency3972.png

(a) Spectral and cumulative thermal conductivity w.r.t frequency

../../_images/fig_cumu_mfp3971.png

(b) Spectral and cumulative thermal conductivity w.r.t MFP

Force constants

../../_images/fig_fc29757.png

(a) Force constants w.r.t atomic distance

Summary

../../_images/fig_kappa7563.png

(a) Temperature-dependent lattice thermal conductivity

../../_images/fig_times17372.png

(b) Computation time