mp-5874/TlAgTe/harm

Harmonic properties

../../_images/fig_bandos13630.png

(a) Phonon dispersion and DOS

Summary

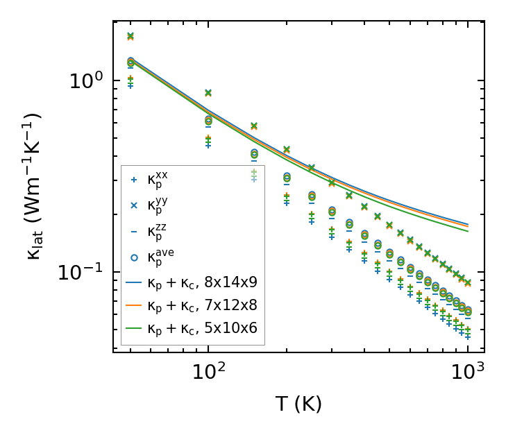
../../_images/fig_kappa7343.png

(a) Temperature-dependent lattice thermal conductivity

../../_images/fig_times16956.png

(b) Computation time