mp-5163-2/LaRhO3/anharm

Equation of state

../../_images/fig_bm4937.png

(a) Equation of state

Harmonic properties

../../_images/fig_bandos_pr9910.png

(a) Phonon dispersion with participation ratio and DOS

../../_images/fig_thermo9910.png

(b) Thermodynamic properties

Grüneisen parameters

../../_images/fig_gru_all3973.png

(a) Grüneisen parameters

../../_images/fig_gruneisen3973.png

(b) Phonon dispersion with Grüneisen parameters

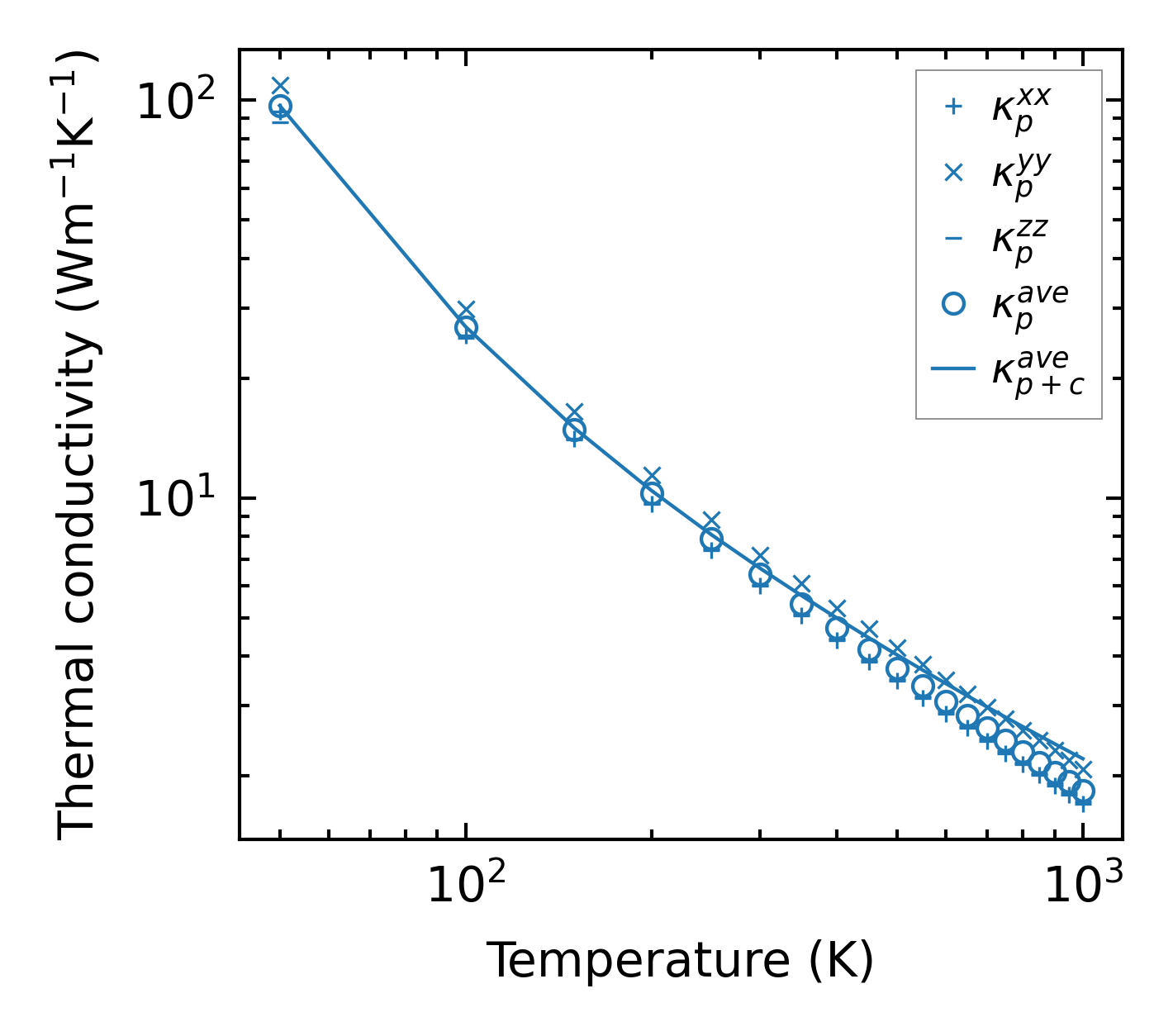
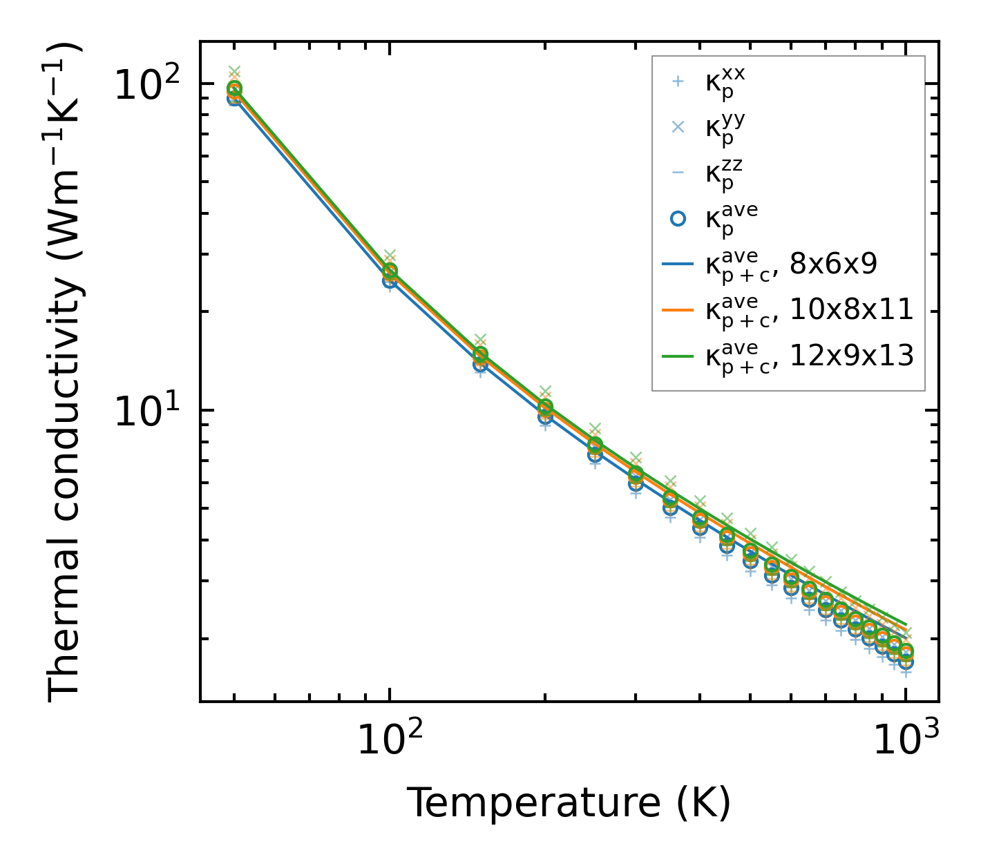
Thermal conductivity

3-phonon (LASSO) — q-mesh: 12x9x13, supercell: 2x1x2

../../_images/fig_kappa7492.png

(a) Temperature-dependent lattice thermal conductivity

../../_images/fig_kappa_vs_grain_size4025.png

(b) Peierls lattice thermal conductivity w.r.t grain size

Phonon lifetime and scattering rates

../../_images/fig_lifetime3935.png

(a) Phonon lifetime due to phonon-phonon scattering

../../_images/fig_scat_rates3934.png

(b) Phonon scattering rates

Cumulative and spectral thermal conductivity

../../_images/fig_cumu_frequency3935.png

(a) Spectral and cumulative thermal conductivity w.r.t frequency

../../_images/fig_cumu_mfp3934.png

(b) Spectral and cumulative thermal conductivity w.r.t MFP

Force constants

../../_images/fig_fc29664.png

(a) Force constants w.r.t atomic distance

Summary

../../_images/fig_kappa7493.png

(a) Temperature-dependent lattice thermal conductivity

../../_images/fig_times17223.png

(b) Computation time