mp-5732-2/La2Si2O7/anharm

Equation of state

../../_images/fig_bm5029.png

(a) Equation of state

Harmonic properties

../../_images/fig_bandos_pr10051.png

(a) Phonon dispersion with participation ratio and DOS

../../_images/fig_bandos13984.png

(b) Phonon dispersion and DOS

../../_images/fig_thermo10051.png

(c) Thermodynamic properties

Grüneisen parameters

../../_images/fig_gru_all4033.png

(a) Grüneisen parameters

../../_images/fig_gruneisen4033.png

(b) Phonon dispersion with Grüneisen parameters

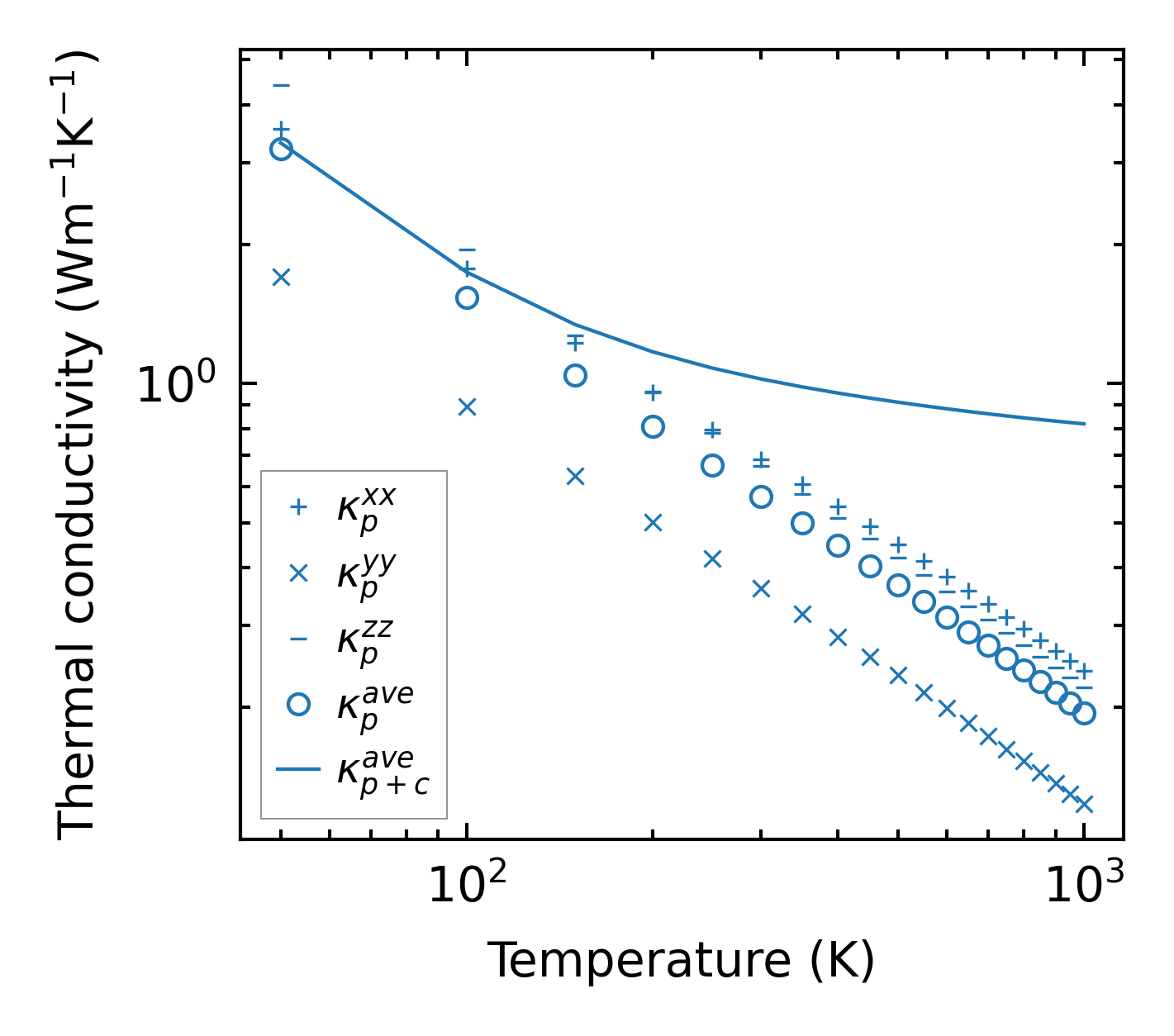
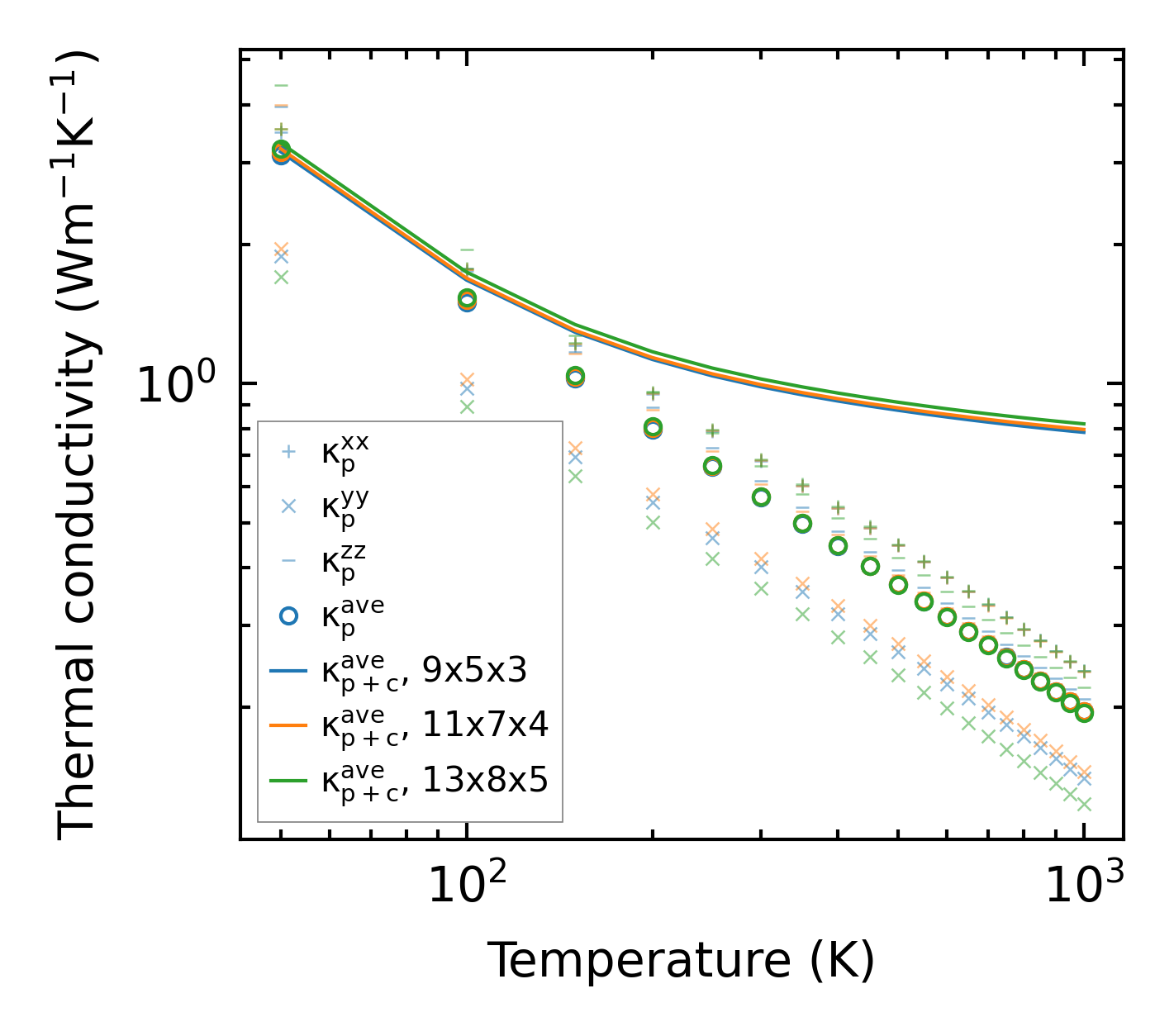
Thermal conductivity

3-phonon (LASSO) — q-mesh: 13x8x5, supercell: 2x1x1

../../_images/fig_kappa7607.png

(a) Temperature-dependent lattice thermal conductivity

../../_images/fig_kappa_vs_grain_size4086.png

(b) Peierls lattice thermal conductivity w.r.t grain size

3-phonon (LASSO), supercell 2x2x1 — q-mesh: 13x8x5, supercell: 2x2x1

../../_images/fig_kappa7608.png

(a) Temperature-dependent lattice thermal conductivity

../../_images/fig_kappa_vs_grain_size4087.png

(b) Peierls lattice thermal conductivity w.r.t grain size

Phonon lifetime and scattering rates

../../_images/fig_lifetime3995.png

(a) Phonon lifetime due to phonon-phonon scattering

../../_images/fig_scat_rates3994.png

(b) Phonon scattering rates

Cumulative and spectral thermal conductivity

../../_images/fig_cumu_frequency3995.png

(a) Spectral and cumulative thermal conductivity w.r.t frequency

../../_images/fig_cumu_mfp3994.png

(b) Spectral and cumulative thermal conductivity w.r.t MFP

Force constants

../../_images/fig_fc29804.png

(a) Force constants w.r.t atomic distance

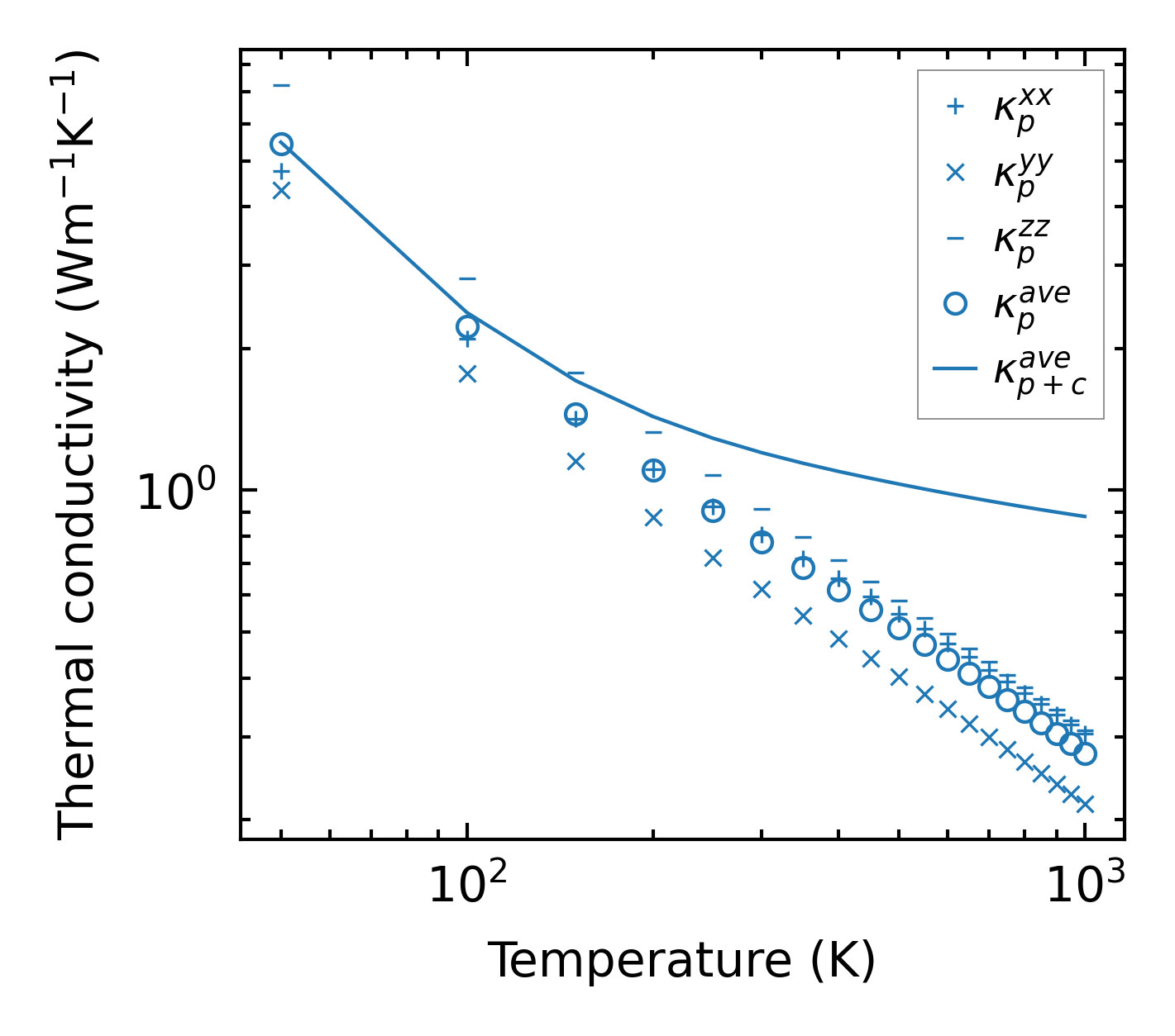
Summary

../../_images/fig_kappa7609.png

(a) Temperature-dependent lattice thermal conductivity

../../_images/fig_times17434.png

(b) Computation time