mp-5853/LiSi2N3/harm

Harmonic properties

../../_images/fig_bandos_pr9747.png

(a) Phonon dispersion with participation ratio and DOS

../../_images/fig_bandos13624.png

(b) Phonon dispersion and DOS

../../_images/fig_thermo9747.png

(c) Thermodynamic properties

Grüneisen parameters

../../_images/fig_gru_all3893.png

(a) Grüneisen parameters

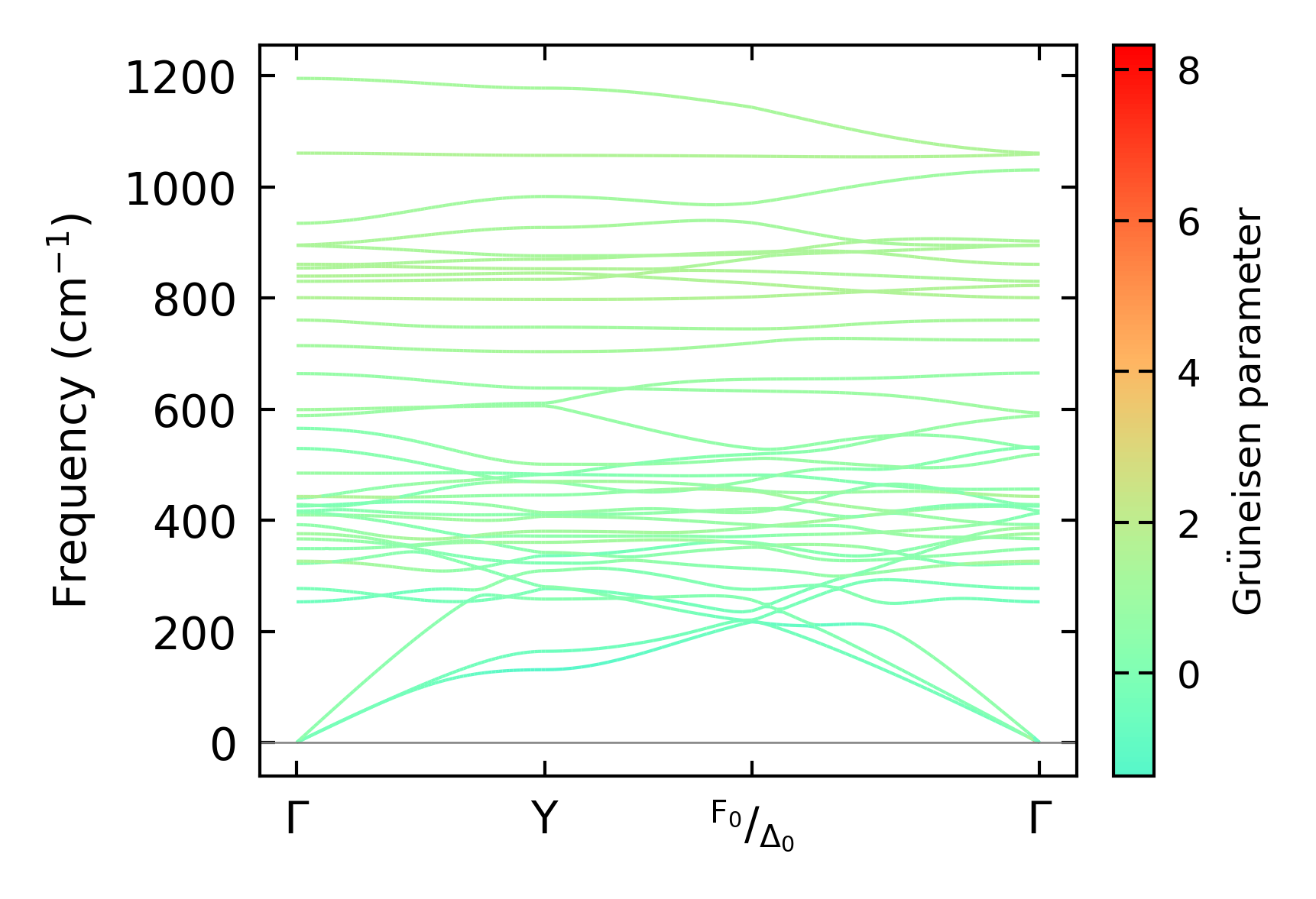
../../_images/fig_gruneisen3893.png

(b) Phonon dispersion with Grüneisen parameters

Force constants

../../_images/fig_fc29506.png

(a) Force constants w.r.t atomic distance

Summary

../../_images/fig_times16948.png

(a) Computation time