mp-5737/TbCuS2/anharm

Harmonic properties

../../_images/fig_bandos_pr10052.png

(a) Phonon dispersion with participation ratio and DOS

../../_images/fig_bandos13987.png

(b) Phonon dispersion and DOS

../../_images/fig_thermo10052.png

(c) Thermodynamic properties

Grüneisen parameters

../../_images/fig_gru_all4034.png

(a) Grüneisen parameters

../../_images/fig_gruneisen4034.png

(b) Phonon dispersion with Grüneisen parameters

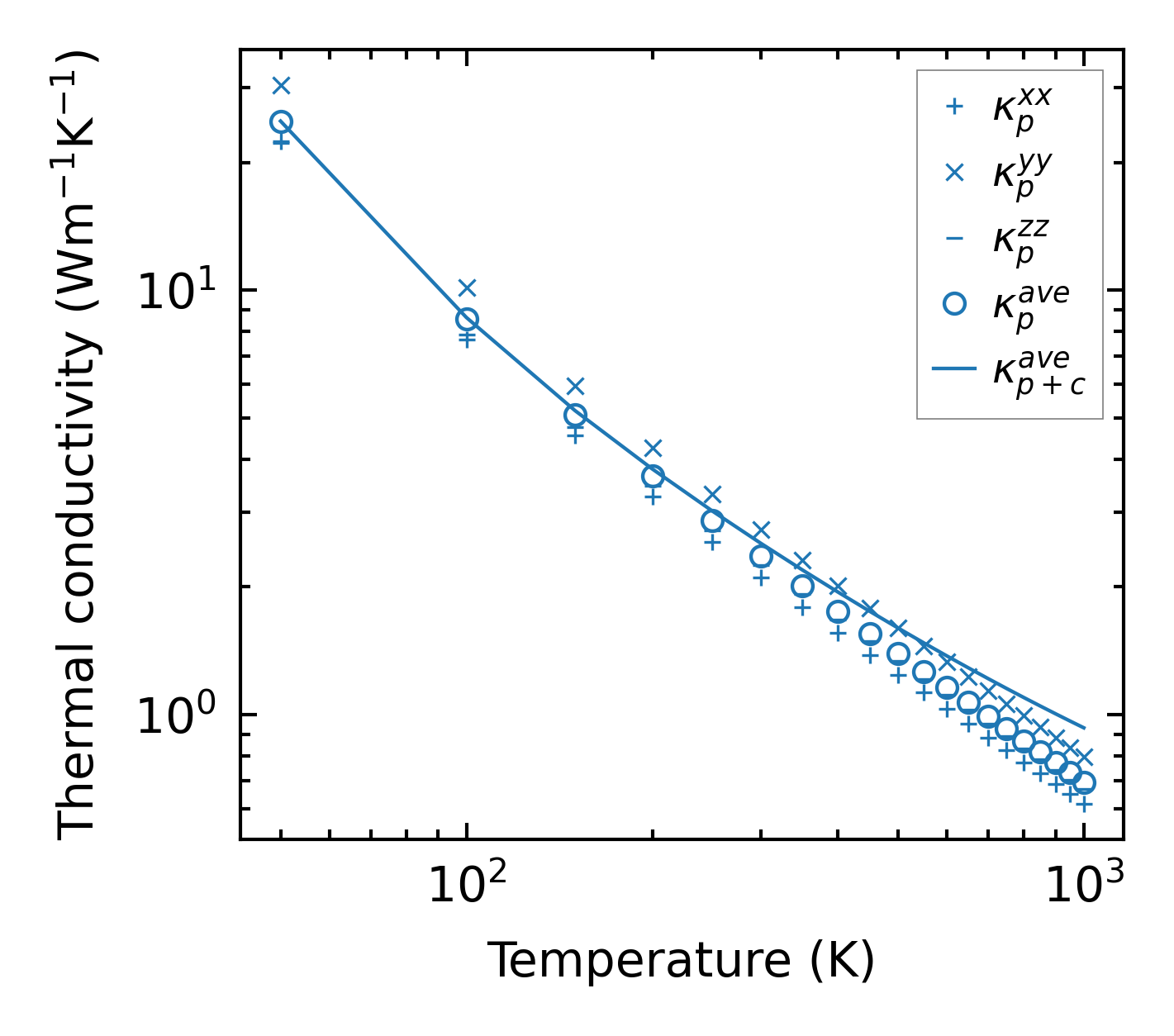
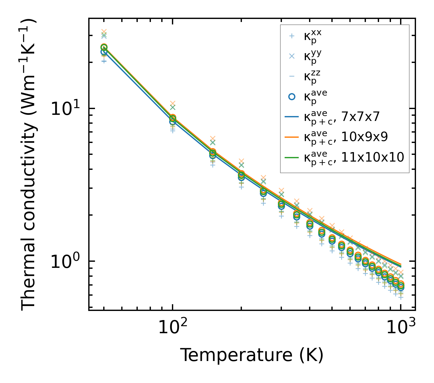
Thermal conductivity

3-phonon (LASSO) — q-mesh: 11x10x10, supercell: 2x2x2

../../_images/fig_kappa7610.png

(a) Temperature-dependent lattice thermal conductivity

../../_images/fig_kappa_vs_grain_size4088.png

(b) Peierls lattice thermal conductivity w.r.t grain size

Phonon lifetime and scattering rates

../../_images/fig_lifetime3996.png

(a) Phonon lifetime due to phonon-phonon scattering

../../_images/fig_scat_rates3995.png

(b) Phonon scattering rates

Cumulative and spectral thermal conductivity

../../_images/fig_cumu_frequency3996.png

(a) Spectral and cumulative thermal conductivity w.r.t frequency

../../_images/fig_cumu_mfp3995.png

(b) Spectral and cumulative thermal conductivity w.r.t MFP

Force constants

../../_images/fig_fc29805.png

(a) Force constants w.r.t atomic distance

Summary

../../_images/fig_kappa7611.png

(a) Temperature-dependent lattice thermal conductivity

../../_images/fig_times17437.png

(b) Computation time