mp-5706/SnPSe3/anharm

Harmonic properties

../../_images/fig_bandos_pr10037.png

(a) Phonon dispersion with participation ratio and DOS

../../_images/fig_thermo10037.png

(b) Thermodynamic properties

Grüneisen parameters

../../_images/fig_gru_all4031.png

(a) Grüneisen parameters

../../_images/fig_gruneisen4031.png

(b) Phonon dispersion with Grüneisen parameters

Thermal conductivity

3-phonon (LASSO) — q-mesh: 11x10x6, supercell: 2x2x1

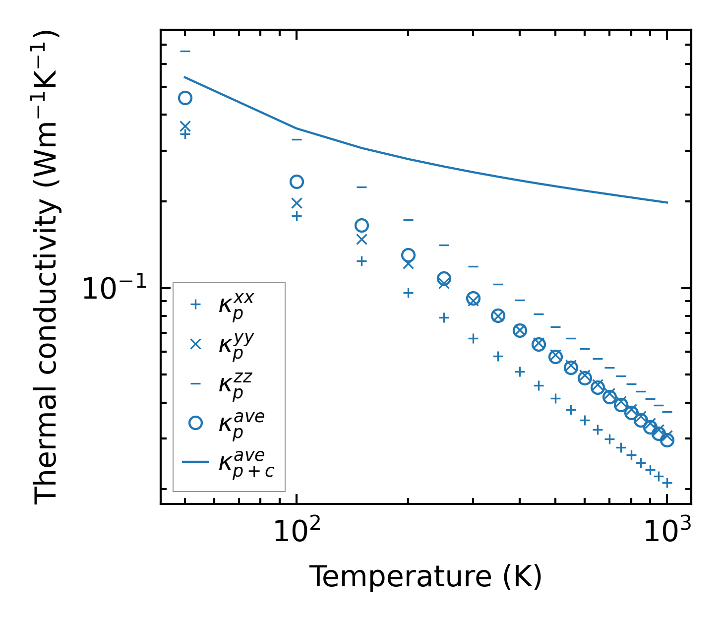
../../_images/fig_kappa7603.png

(a) Temperature-dependent lattice thermal conductivity

../../_images/fig_kappa_vs_grain_size4084.png

(b) Peierls lattice thermal conductivity w.r.t grain size

Phonon lifetime and scattering rates

../../_images/fig_lifetime3993.png

(a) Phonon lifetime due to phonon-phonon scattering

../../_images/fig_scat_rates3992.png

(b) Phonon scattering rates

Cumulative and spectral thermal conductivity

../../_images/fig_cumu_frequency3993.png

(a) Spectral and cumulative thermal conductivity w.r.t frequency

../../_images/fig_cumu_mfp3992.png

(b) Spectral and cumulative thermal conductivity w.r.t MFP

Force constants

../../_images/fig_fc29790.png

(a) Force constants w.r.t atomic distance

Summary

../../_images/fig_kappa7604.png

(a) Temperature-dependent lattice thermal conductivity

../../_images/fig_times17419.png

(b) Computation time