mp-5132-2/YPO4/anharm

Equation of state

../../_images/fig_bm4930.png

(a) Equation of state

Harmonic properties

../../_images/fig_bandos_pr9904.png

(a) Phonon dispersion with participation ratio and DOS

../../_images/fig_thermo9904.png

(b) Thermodynamic properties

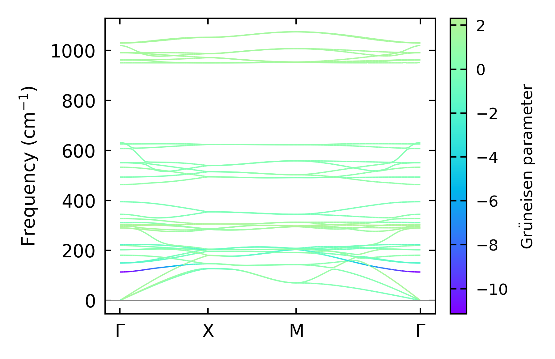
Grüneisen parameters

../../_images/fig_gru_all3968.png

(a) Grüneisen parameters

../../_images/fig_gruneisen3968.png

(b) Phonon dispersion with Grüneisen parameters

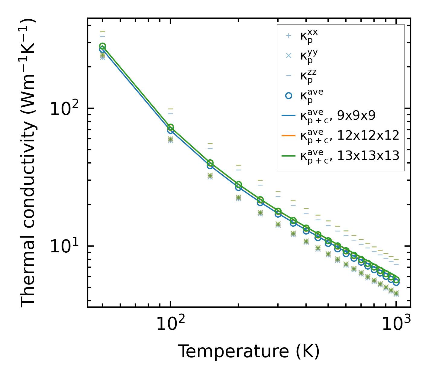
Thermal conductivity

3-phonon (LASSO) — q-mesh: 13x13x13, supercell: 1x1x2

../../_images/fig_kappa7483.png

(a) Temperature-dependent lattice thermal conductivity

../../_images/fig_kappa_vs_grain_size4020.png

(b) Peierls lattice thermal conductivity w.r.t grain size

Phonon lifetime and scattering rates

../../_images/fig_lifetime3931.png

(a) Phonon lifetime due to phonon-phonon scattering

../../_images/fig_scat_rates3930.png

(b) Phonon scattering rates

Cumulative and spectral thermal conductivity

../../_images/fig_cumu_frequency3931.png

(a) Spectral and cumulative thermal conductivity w.r.t frequency

../../_images/fig_cumu_mfp3930.png

(b) Spectral and cumulative thermal conductivity w.r.t MFP

Force constants

../../_images/fig_fc29658.png

(a) Force constants w.r.t atomic distance

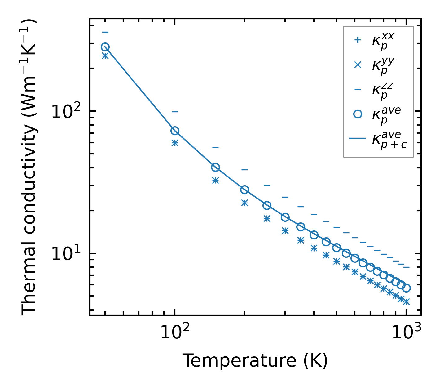
Summary

../../_images/fig_kappa7484.png

(a) Temperature-dependent lattice thermal conductivity

../../_images/fig_times17210.png

(b) Computation time