mp-5621-2/NbCu3S4/anharm

Equation of state

../../_images/fig_bm5012.png

(a) Equation of state

Harmonic properties

../../_images/fig_bandos_pr10021.png

(a) Phonon dispersion with participation ratio and DOS

../../_images/fig_thermo10021.png

(b) Thermodynamic properties

Grüneisen parameters

../../_images/fig_gru_all4021.png

(a) Grüneisen parameters

../../_images/fig_gruneisen4021.png

(b) Phonon dispersion with Grüneisen parameters

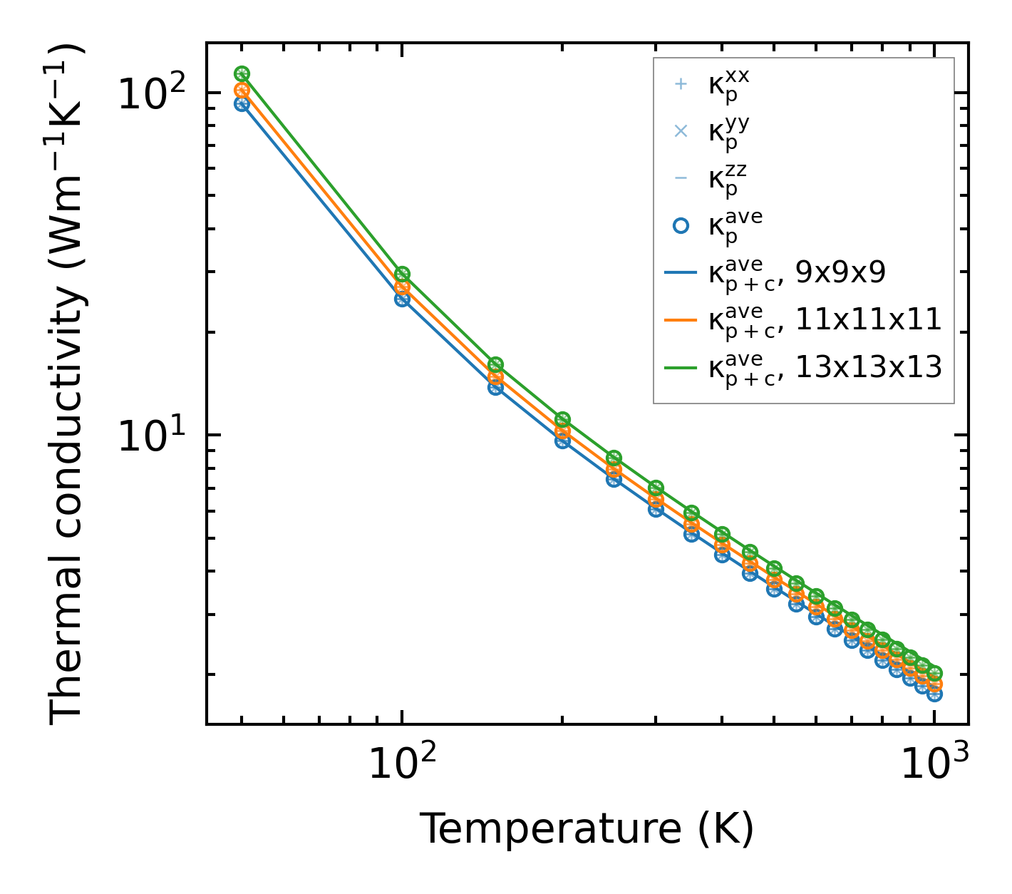
Thermal conductivity

3-phonon (LASSO) — q-mesh: 13x13x13, supercell: 2x2x2

../../_images/fig_kappa7583.png

(a) Temperature-dependent lattice thermal conductivity

../../_images/fig_kappa_vs_grain_size4074.png

(b) Peierls lattice thermal conductivity w.r.t grain size

Phonon lifetime and scattering rates

../../_images/fig_lifetime3983.png

(a) Phonon lifetime due to phonon-phonon scattering

../../_images/fig_scat_rates3982.png

(b) Phonon scattering rates

Cumulative and spectral thermal conductivity

../../_images/fig_cumu_frequency3983.png

(a) Spectral and cumulative thermal conductivity w.r.t frequency

../../_images/fig_cumu_mfp3982.png

(b) Spectral and cumulative thermal conductivity w.r.t MFP

Force constants

../../_images/fig_fc29774.png

(a) Force constants w.r.t atomic distance

Summary

../../_images/fig_kappa7584.png

(a) Temperature-dependent lattice thermal conductivity

../../_images/fig_times17395.png

(b) Computation time