mp-5893-2/CaSiO3/harm

Equation of state

../../_images/fig_bm4865.png

(a) Equation of state

Harmonic properties

../../_images/fig_bandos_pr9759.png

(a) Phonon dispersion with participation ratio and DOS

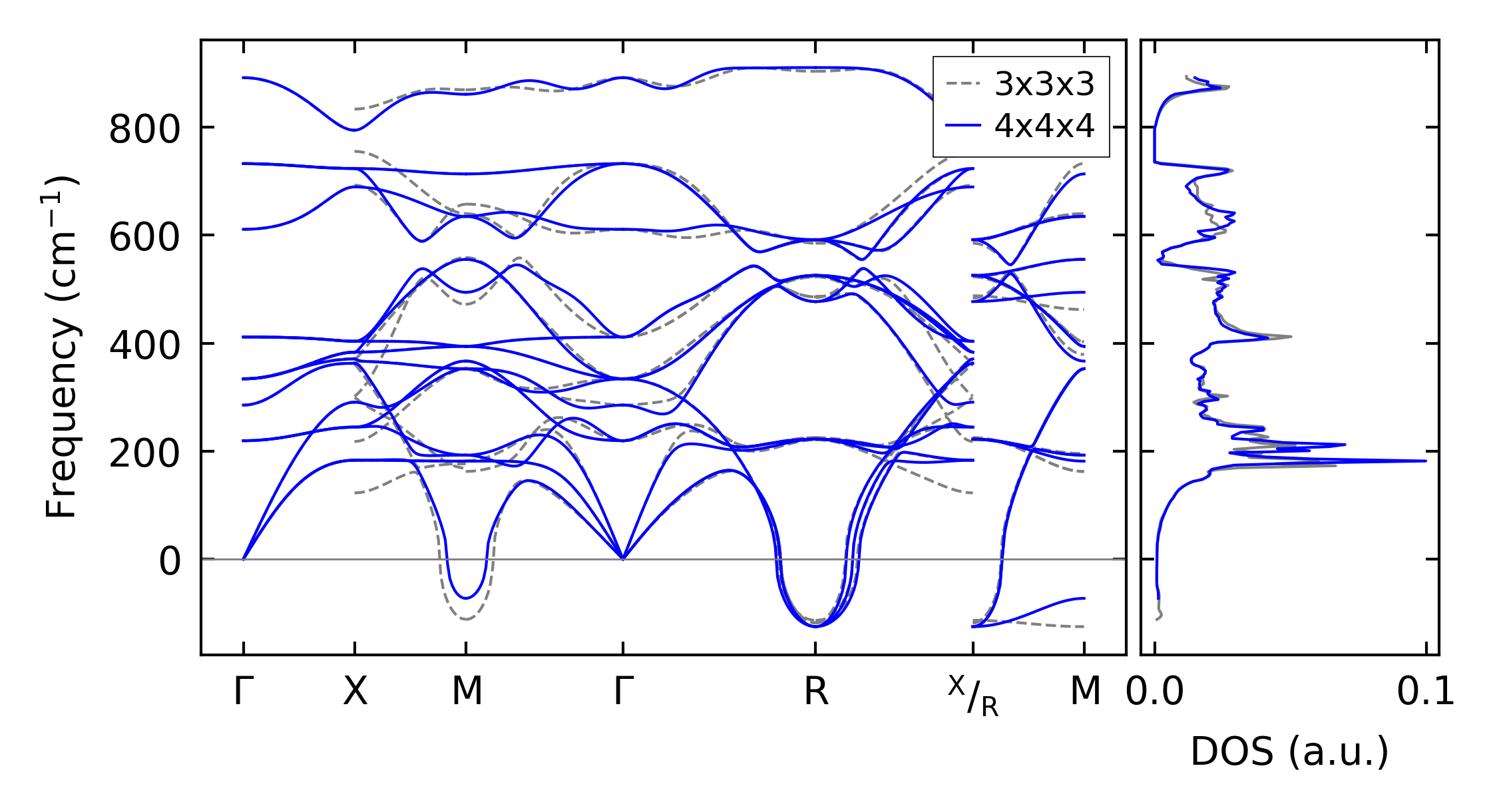
../../_images/fig_bandos13635.png

(b) Phonon dispersion and DOS

../../_images/fig_thermo9759.png

(c) Thermodynamic properties

Force constants

../../_images/fig_fc29517.png

(a) Force constants w.r.t atomic distance

Summary

../../_images/fig_times16965.png

(a) Computation time