mp-5309/KAuF4/anharm

Harmonic properties

../../_images/fig_bandos_pr9938.png

(a) Phonon dispersion with participation ratio and DOS

../../_images/fig_thermo9938.png

(b) Thermodynamic properties

Grüneisen parameters

../../_images/fig_gru_all3984.png

(a) Grüneisen parameters

../../_images/fig_gruneisen3984.png

(b) Phonon dispersion with Grüneisen parameters

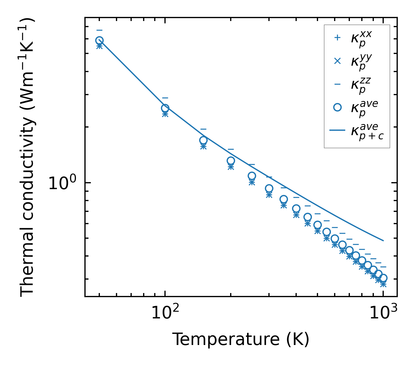
Thermal conductivity

3-phonon (LASSO) — q-mesh: 12x12x12, supercell: 2x2x1

../../_images/fig_kappa7514.png

(a) Temperature-dependent lattice thermal conductivity

../../_images/fig_kappa_vs_grain_size4036.png

(b) Peierls lattice thermal conductivity w.r.t grain size

Phonon lifetime and scattering rates

../../_images/fig_lifetime3946.png

(a) Phonon lifetime due to phonon-phonon scattering

../../_images/fig_scat_rates3945.png

(b) Phonon scattering rates

Cumulative and spectral thermal conductivity

../../_images/fig_cumu_frequency3946.png

(a) Spectral and cumulative thermal conductivity w.r.t frequency

../../_images/fig_cumu_mfp3945.png

(b) Spectral and cumulative thermal conductivity w.r.t MFP

Force constants

../../_images/fig_fc29691.png

(a) Force constants w.r.t atomic distance

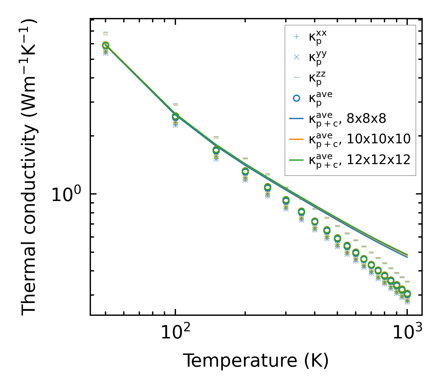
Summary

../../_images/fig_kappa7515.png

(a) Temperature-dependent lattice thermal conductivity

../../_images/fig_times17271.png

(b) Computation time