mp-5146/ZnRh2O4/anharm

Harmonic properties

../../_images/fig_bandos_pr9906.png

(a) Phonon dispersion with participation ratio and DOS

../../_images/fig_thermo9906.png

(b) Thermodynamic properties

Grüneisen parameters

../../_images/fig_gru_all3969.png

(a) Grüneisen parameters

../../_images/fig_gruneisen3969.png

(b) Phonon dispersion with Grüneisen parameters

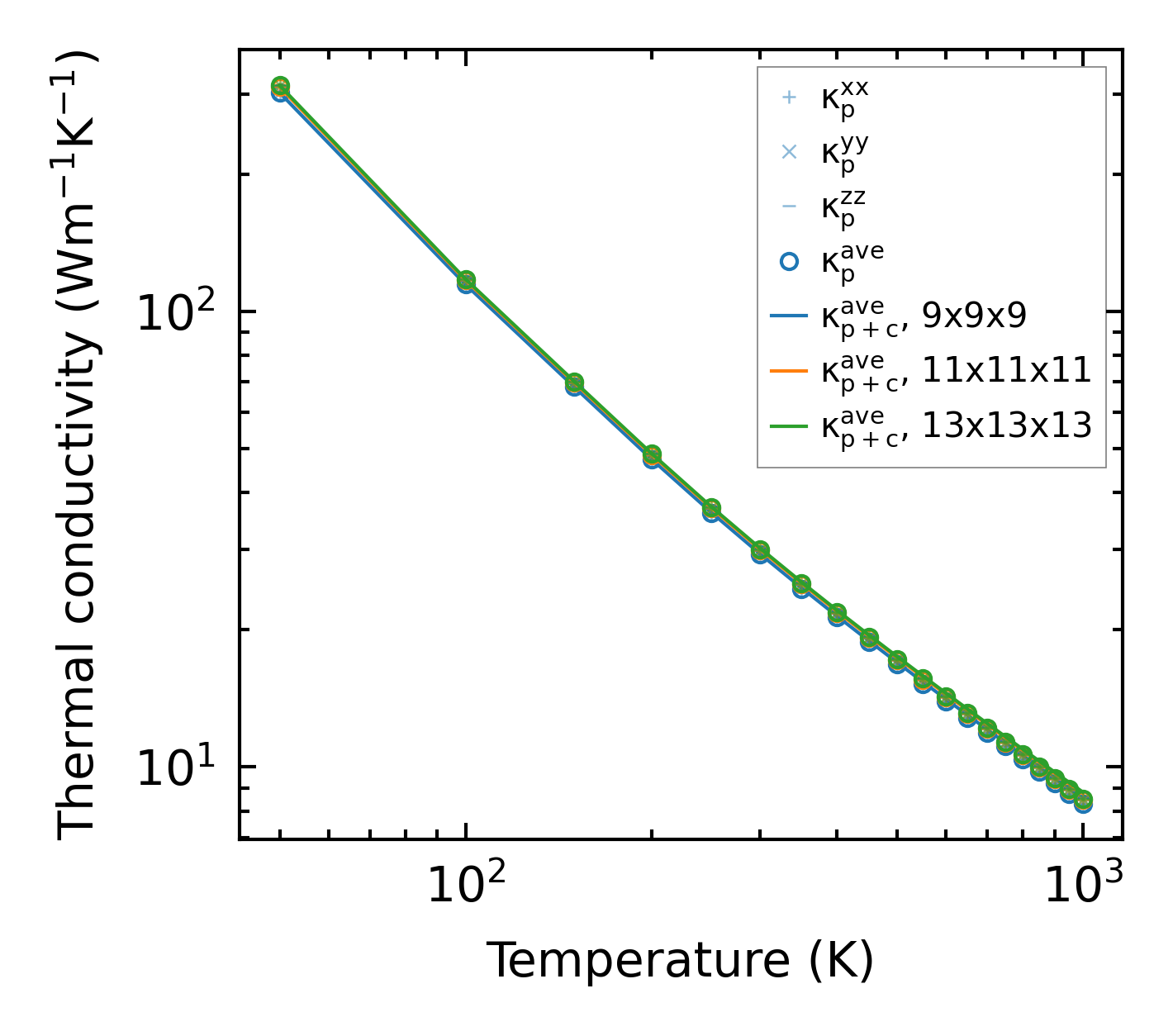
Thermal conductivity

3-phonon (LASSO) — q-mesh: 13x13x13, supercell: 1x1x1

../../_images/fig_kappa7485.png

(a) Temperature-dependent lattice thermal conductivity

../../_images/fig_kappa_vs_grain_size4021.png

(b) Peierls lattice thermal conductivity w.r.t grain size

Force constants

../../_images/fig_fc29660.png

(a) Force constants w.r.t atomic distance

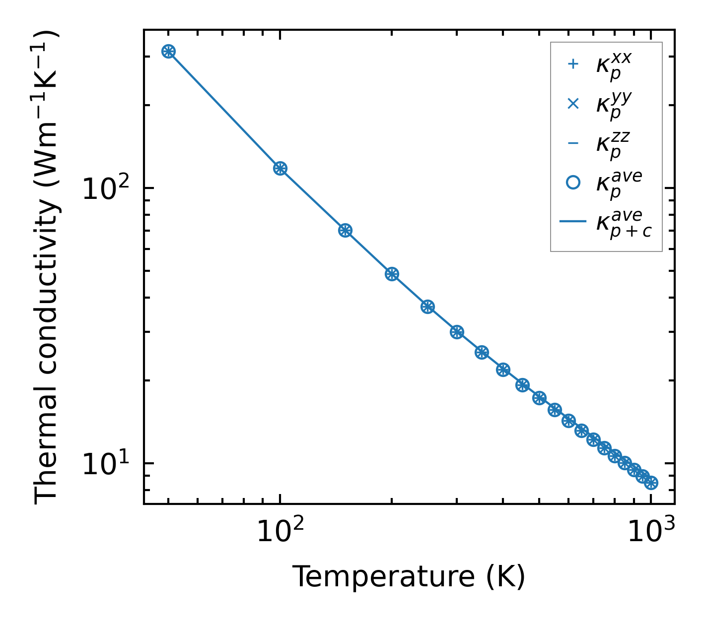
Summary

../../_images/fig_kappa7486.png

(a) Temperature-dependent lattice thermal conductivity

../../_images/fig_times17213.png

(b) Computation time