mp-5245-2/ZnC2N2/anharm

Equation of state

../../_images/fig_bm4945.png

(a) Equation of state

Harmonic properties

../../_images/fig_bandos_pr9925.png

(a) Phonon dispersion with participation ratio and DOS

../../_images/fig_thermo9925.png

(b) Thermodynamic properties

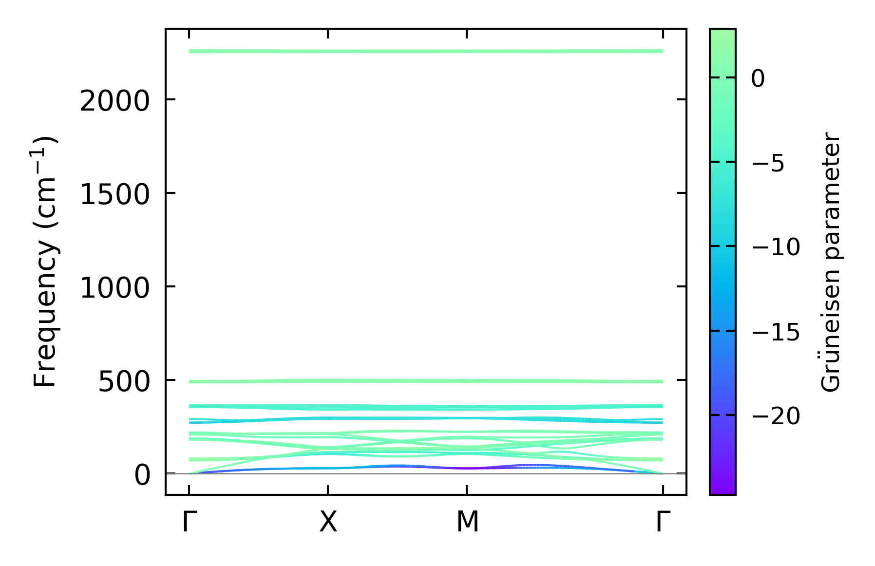
Grüneisen parameters

../../_images/fig_gru_all3981.png

(a) Grüneisen parameters

../../_images/fig_gruneisen3981.png

(b) Phonon dispersion with Grüneisen parameters

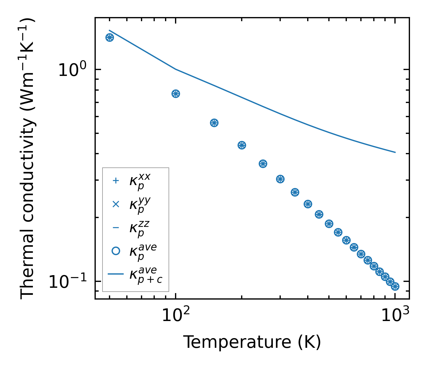
Thermal conductivity

3-phonon (LASSO) — q-mesh: 12x12x12, supercell: 2x2x2

../../_images/fig_kappa7507.png

(a) Temperature-dependent lattice thermal conductivity

../../_images/fig_kappa_vs_grain_size4033.png

(b) Peierls lattice thermal conductivity w.r.t grain size

Phonon lifetime and scattering rates

../../_images/fig_lifetime3943.png

(a) Phonon lifetime due to phonon-phonon scattering

../../_images/fig_scat_rates3942.png

(b) Phonon scattering rates

Cumulative and spectral thermal conductivity

../../_images/fig_cumu_frequency3943.png

(a) Spectral and cumulative thermal conductivity w.r.t frequency

../../_images/fig_cumu_mfp3942.png

(b) Spectral and cumulative thermal conductivity w.r.t MFP

Force constants

../../_images/fig_fc29679.png

(a) Force constants w.r.t atomic distance

Summary

../../_images/fig_kappa7508.png

(a) Temperature-dependent lattice thermal conductivity

../../_images/fig_times17246.png

(b) Computation time