mp-5127/LiCuO/anharm

Harmonic properties

../../_images/fig_bandos_pr10264.png

(a) Phonon dispersion with participation ratio and DOS

../../_images/fig_thermo10264.png

(b) Thermodynamic properties

Grüneisen parameters

../../_images/fig_gru_all4144.png

(a) Grüneisen parameters

../../_images/fig_gruneisen4144.png

(b) Phonon dispersion with Grüneisen parameters

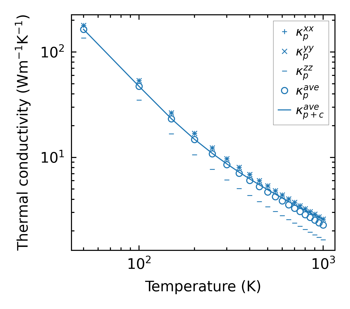
Thermal conductivity

3-phonon (LASSO) — q-mesh: 14x14x14, supercell: 1x1x3

../../_images/fig_kappa7814.png

(a) Temperature-dependent lattice thermal conductivity

../../_images/fig_kappa_vs_grain_size4199.png

(b) Peierls lattice thermal conductivity w.r.t grain size

Phonon lifetime and scattering rates

../../_images/fig_lifetime4106.png

(a) Phonon lifetime due to phonon-phonon scattering

../../_images/fig_scat_rates4105.png

(b) Phonon scattering rates

Cumulative and spectral thermal conductivity

../../_images/fig_cumu_frequency4106.png

(a) Spectral and cumulative thermal conductivity w.r.t frequency

../../_images/fig_cumu_mfp4105.png

(b) Spectral and cumulative thermal conductivity w.r.t MFP

Force constants

../../_images/fig_fc210014.png

(a) Force constants w.r.t atomic distance

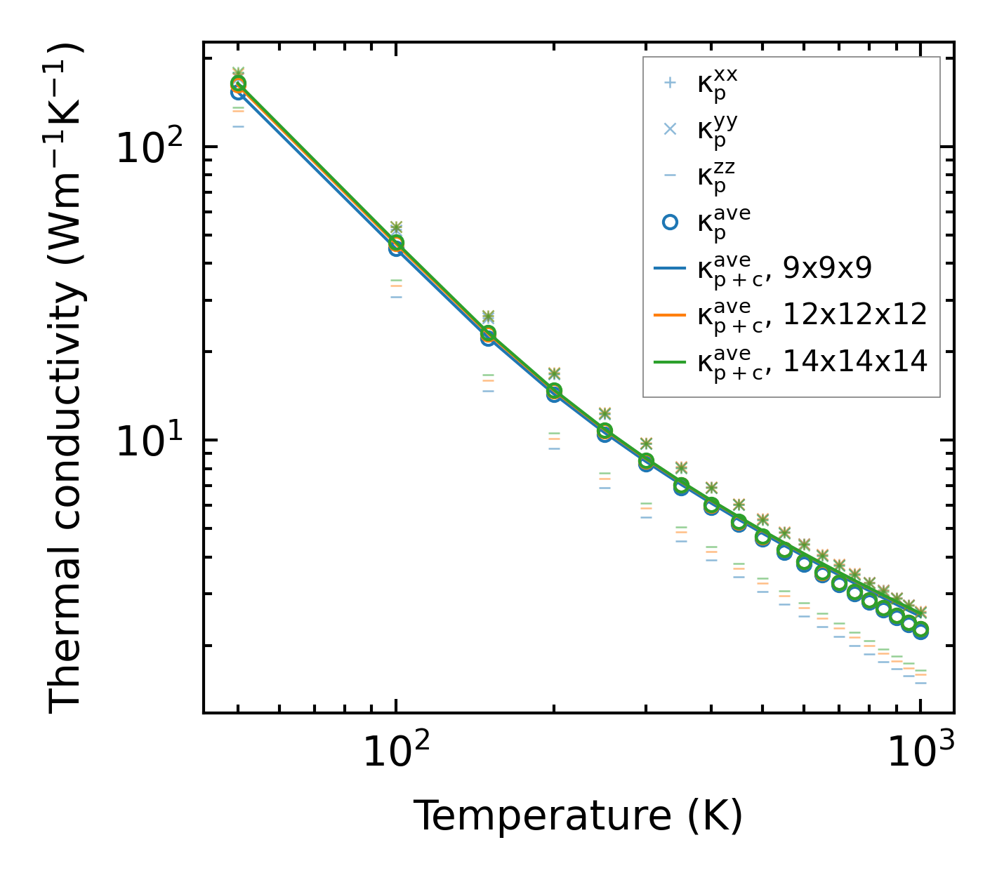
Summary

../../_images/fig_kappa7815.png

(a) Temperature-dependent lattice thermal conductivity

../../_images/fig_times17738.png

(b) Computation time