mp-5476/Cs4Mg3F10/anharm

Harmonic properties

../../_images/fig_bandos_pr9982.png

(a) Phonon dispersion with participation ratio and DOS

../../_images/fig_thermo9982.png

(b) Thermodynamic properties

Grüneisen parameters

../../_images/fig_gru_all3996.png

(a) Grüneisen parameters

../../_images/fig_gruneisen3996.png

(b) Phonon dispersion with Grüneisen parameters

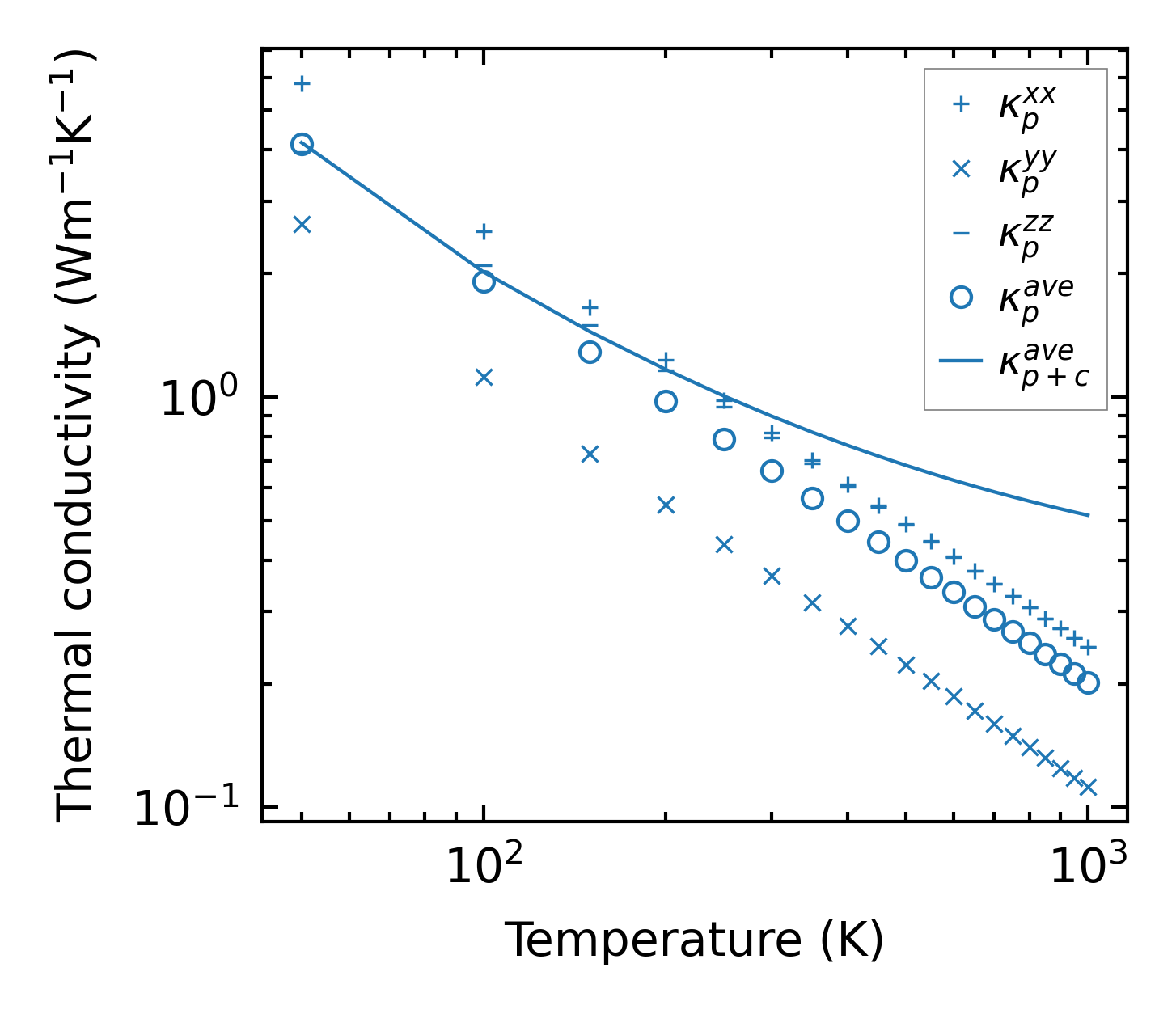
Thermal conductivity

3-phonon (LASSO) — q-mesh: 10x10x5, supercell: 2x1x1

../../_images/fig_kappa7536.png

(a) Temperature-dependent lattice thermal conductivity

../../_images/fig_kappa_vs_grain_size4049.png

(b) Peierls lattice thermal conductivity w.r.t grain size

Phonon lifetime and scattering rates

../../_images/fig_lifetime3958.png

(a) Phonon lifetime due to phonon-phonon scattering

../../_images/fig_scat_rates3957.png

(b) Phonon scattering rates

Cumulative and spectral thermal conductivity

../../_images/fig_cumu_frequency3958.png

(a) Spectral and cumulative thermal conductivity w.r.t frequency

../../_images/fig_cumu_mfp3957.png

(b) Spectral and cumulative thermal conductivity w.r.t MFP

Force constants

../../_images/fig_fc29735.png

(a) Force constants w.r.t atomic distance

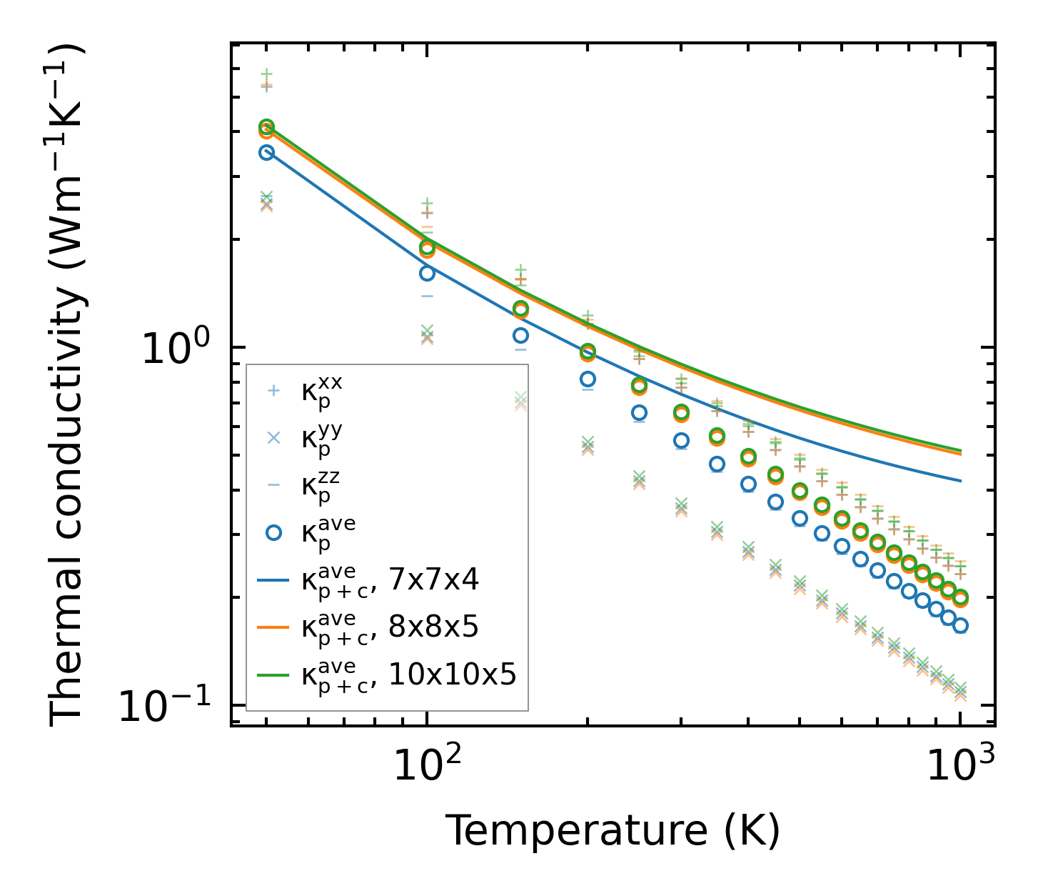
Summary

../../_images/fig_kappa7537.png

(a) Temperature-dependent lattice thermal conductivity

../../_images/fig_times17339.png

(b) Computation time