mp-5487-2/Sr3SiO5/anharm

Equation of state

../../_images/fig_bm4991.png

(a) Equation of state

Harmonic properties

../../_images/fig_bandos_pr9987.png

(a) Phonon dispersion with participation ratio and DOS

../../_images/fig_thermo9987.png

(b) Thermodynamic properties

Grüneisen parameters

../../_images/fig_gru_all4001.png

(a) Grüneisen parameters

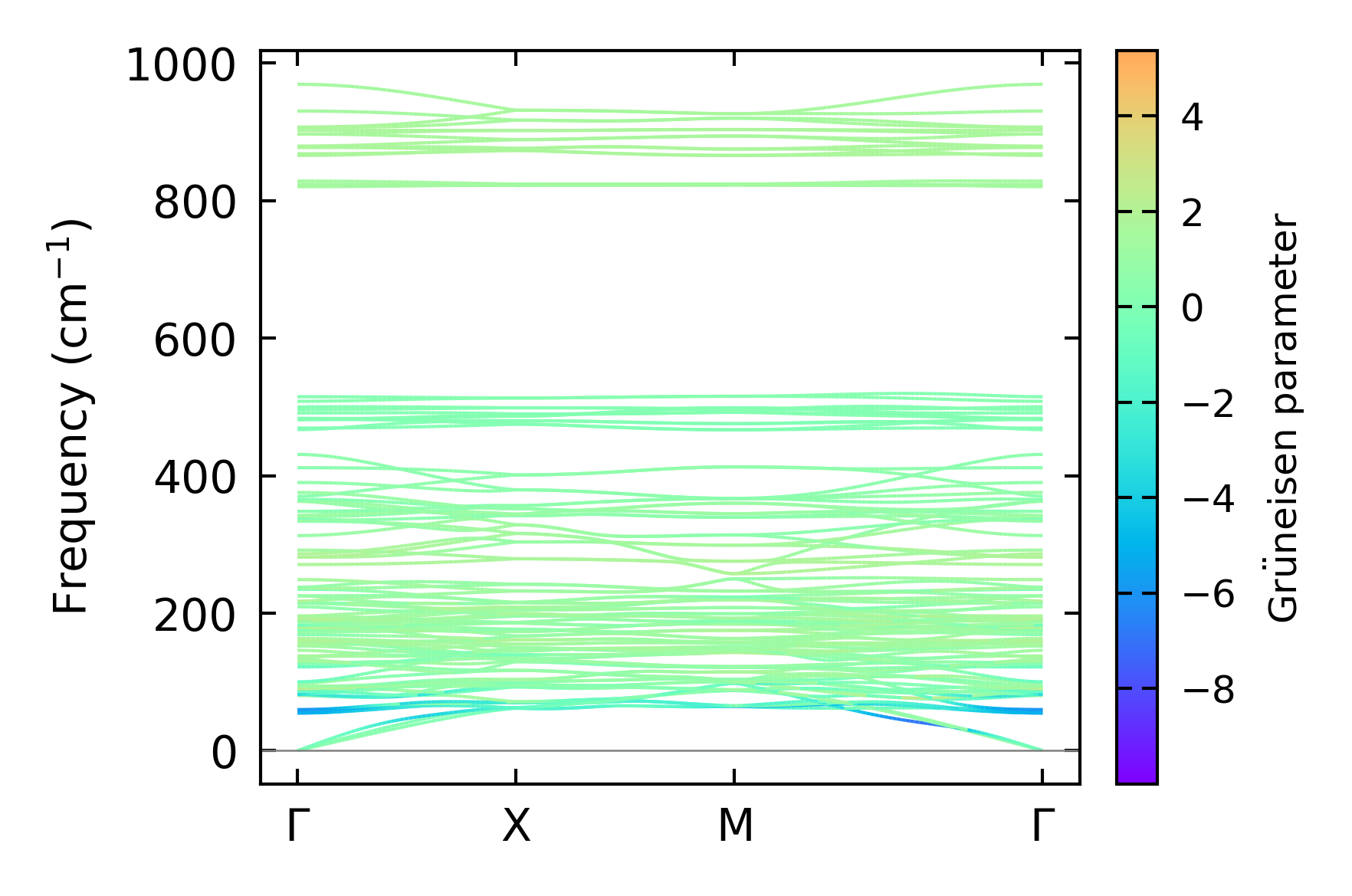
../../_images/fig_gruneisen4001.png

(b) Phonon dispersion with Grüneisen parameters

Thermal conductivity

3-phonon (LASSO) — q-mesh: 10x10x6, supercell: 2x2x1

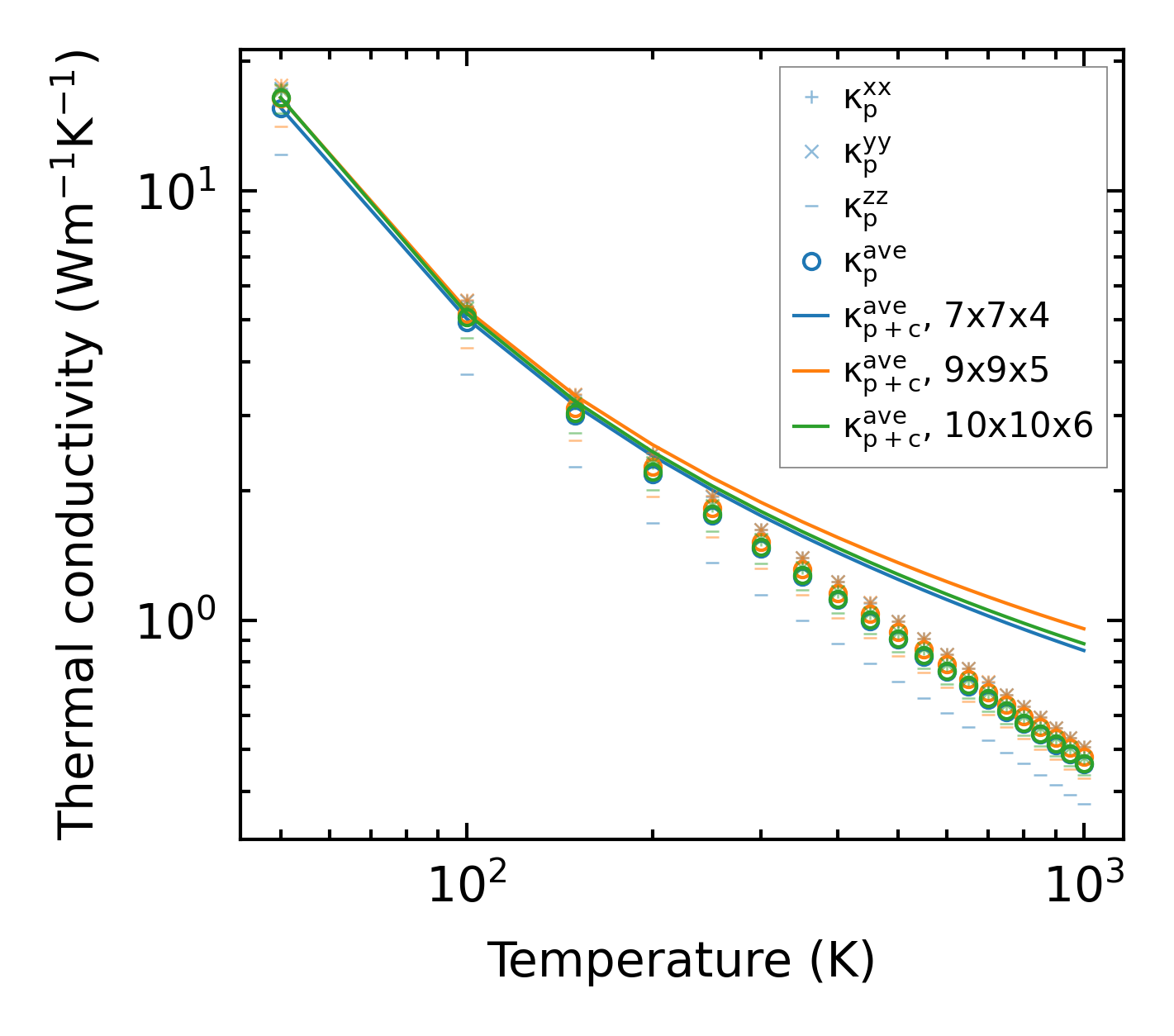
../../_images/fig_kappa7546.png

(a) Temperature-dependent lattice thermal conductivity

../../_images/fig_kappa_vs_grain_size4054.png

(b) Peierls lattice thermal conductivity w.r.t grain size

Phonon lifetime and scattering rates

../../_images/fig_lifetime3963.png

(a) Phonon lifetime due to phonon-phonon scattering

../../_images/fig_scat_rates3962.png

(b) Phonon scattering rates

Cumulative and spectral thermal conductivity

../../_images/fig_cumu_frequency3963.png

(a) Spectral and cumulative thermal conductivity w.r.t frequency

../../_images/fig_cumu_mfp3962.png

(b) Spectral and cumulative thermal conductivity w.r.t MFP

Force constants

../../_images/fig_fc29740.png

(a) Force constants w.r.t atomic distance

Summary

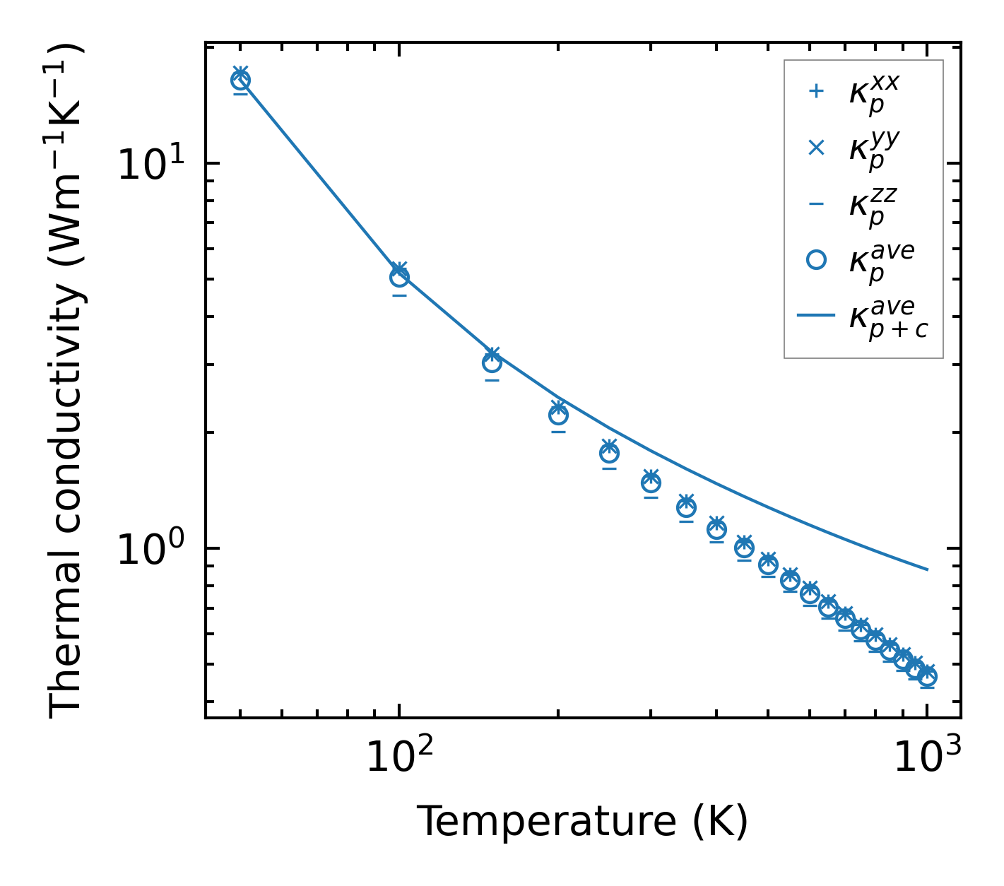
../../_images/fig_kappa7547.png

(a) Temperature-dependent lattice thermal conductivity

../../_images/fig_times17346.png

(b) Computation time