mp-5036/ErPS4/anharm

Harmonic properties

../../_images/fig_bandos_pr10234.png

(a) Phonon dispersion with participation ratio and DOS

../../_images/fig_thermo10234.png

(b) Thermodynamic properties

Grüneisen parameters

../../_images/fig_gru_all4128.png

(a) Grüneisen parameters

../../_images/fig_gruneisen4128.png

(b) Phonon dispersion with Grüneisen parameters

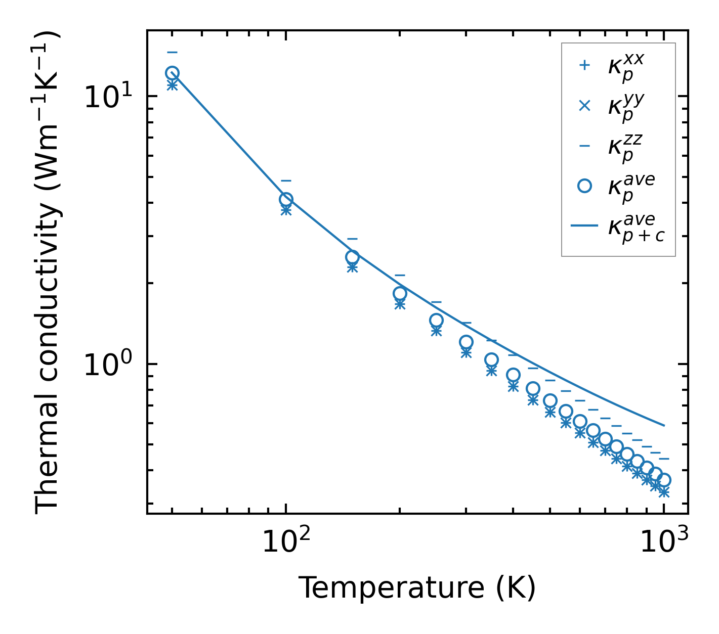
Thermal conductivity

3-phonon (LASSO) — q-mesh: 7x7x7, supercell: 1x1x1

../../_images/fig_kappa7783.png

(a) Temperature-dependent lattice thermal conductivity

../../_images/fig_kappa_vs_grain_size4183.png

(b) Peierls lattice thermal conductivity w.r.t grain size

Phonon lifetime and scattering rates

../../_images/fig_lifetime4090.png

(a) Phonon lifetime due to phonon-phonon scattering

../../_images/fig_scat_rates4089.png

(b) Phonon scattering rates

Cumulative and spectral thermal conductivity

../../_images/fig_cumu_frequency4090.png

(a) Spectral and cumulative thermal conductivity w.r.t frequency

../../_images/fig_cumu_mfp4089.png

(b) Spectral and cumulative thermal conductivity w.r.t MFP

Force constants

../../_images/fig_fc29985.png

(a) Force constants w.r.t atomic distance

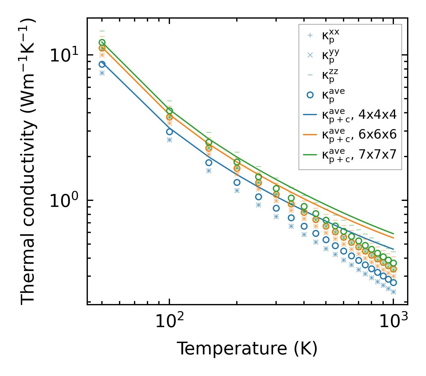
Summary

../../_images/fig_kappa7784.png

(a) Temperature-dependent lattice thermal conductivity

../../_images/fig_times17699.png

(b) Computation time