mp-5858/CdPtF6/anharm

Harmonic properties

../../_images/fig_bandos_pr9750.png

(a) Phonon dispersion with participation ratio and DOS

../../_images/fig_thermo9750.png

(b) Thermodynamic properties

Grüneisen parameters

../../_images/fig_gru_all3894.png

(a) Grüneisen parameters

../../_images/fig_gruneisen3894.png

(b) Phonon dispersion with Grüneisen parameters

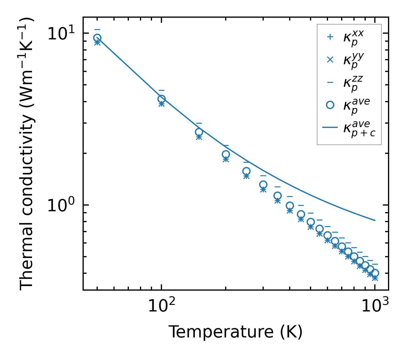
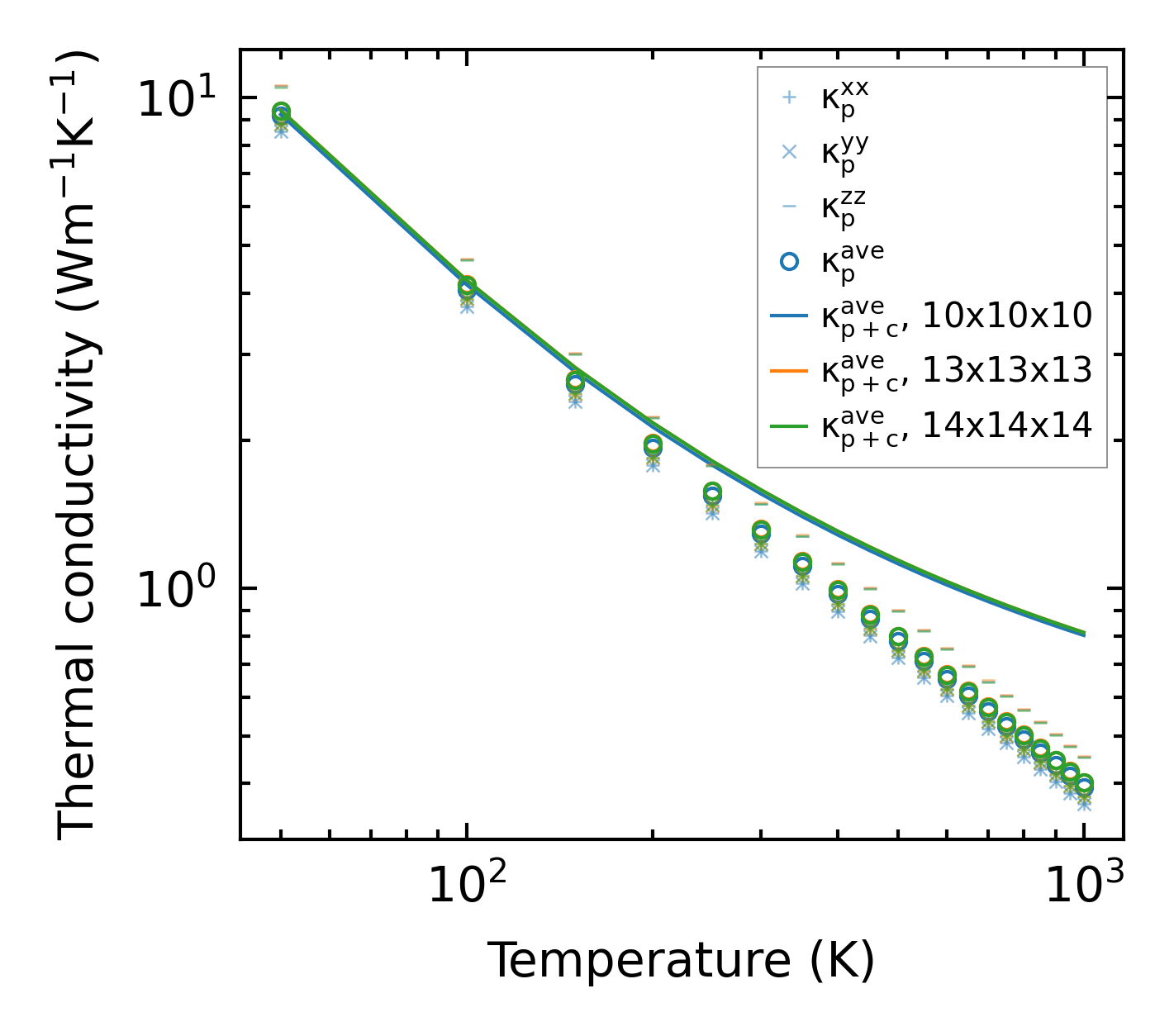
Thermal conductivity

3-phonon (LASSO) — q-mesh: 14x14x14, supercell: 2x2x1

../../_images/fig_kappa7339.png

(a) Temperature-dependent lattice thermal conductivity

../../_images/fig_kappa_vs_grain_size3944.png

(b) Peierls lattice thermal conductivity w.r.t grain size

Phonon lifetime and scattering rates

../../_images/fig_lifetime3857.png

(a) Phonon lifetime due to phonon-phonon scattering

../../_images/fig_scat_rates3856.png

(b) Phonon scattering rates

Cumulative and spectral thermal conductivity

../../_images/fig_cumu_frequency3857.png

(a) Spectral and cumulative thermal conductivity w.r.t frequency

../../_images/fig_cumu_mfp3856.png

(b) Spectral and cumulative thermal conductivity w.r.t MFP

Force constants

../../_images/fig_fc29509.png

(a) Force constants w.r.t atomic distance

Summary

../../_images/fig_kappa7340.png

(a) Temperature-dependent lattice thermal conductivity

../../_images/fig_times16953.png

(b) Computation time