mp-5900-2/Ba2ZrF8/anharm

Equation of state

../../_images/fig_bm4867.png

(a) Equation of state

Harmonic properties

../../_images/fig_bandos_pr9762.png

(a) Phonon dispersion with participation ratio and DOS

../../_images/fig_thermo9762.png

(b) Thermodynamic properties

Grüneisen parameters

../../_images/fig_gru_all3902.png

(a) Grüneisen parameters

../../_images/fig_gruneisen3902.png

(b) Phonon dispersion with Grüneisen parameters

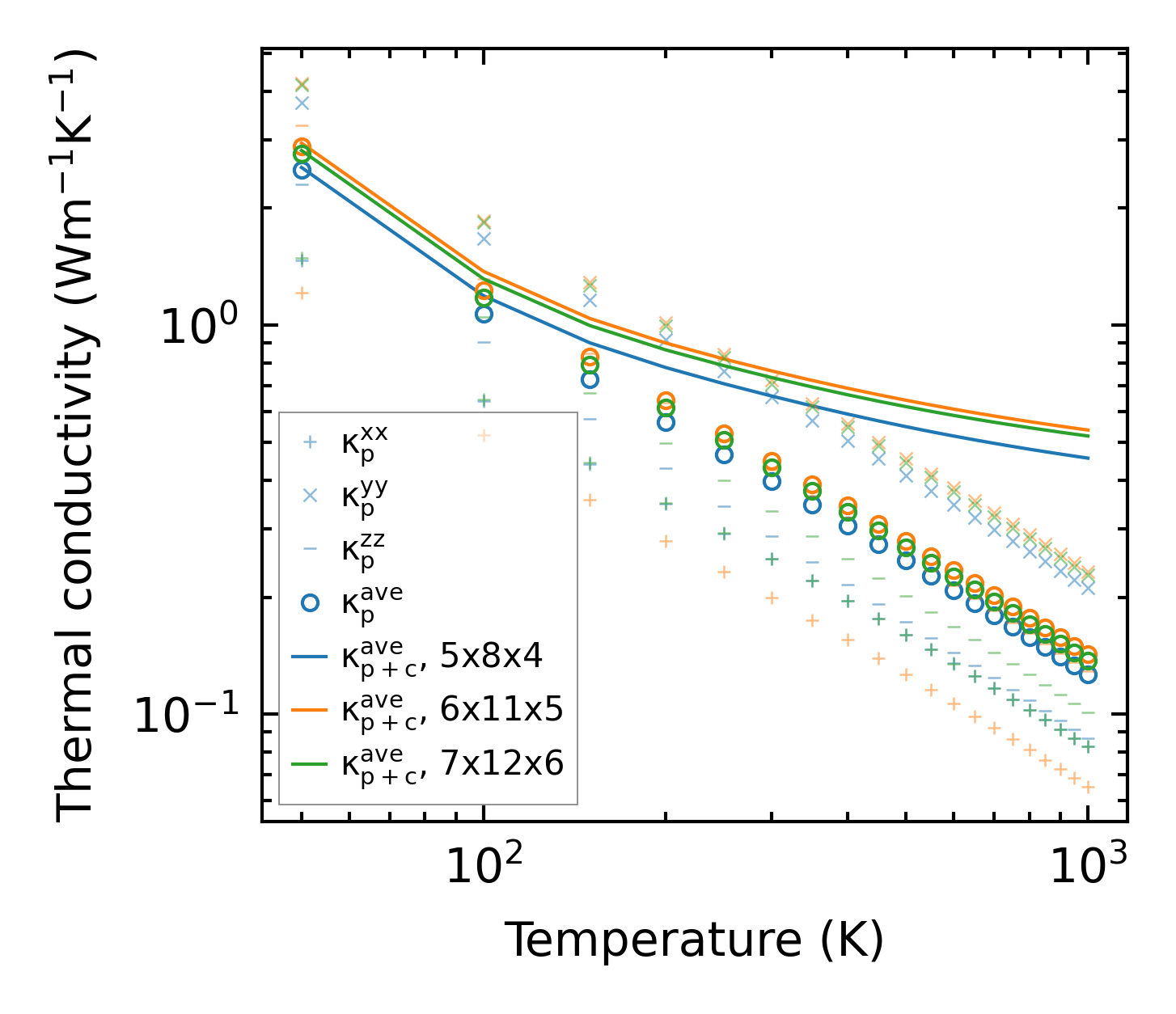
Thermal conductivity

3-phonon (LASSO) — q-mesh: 7x12x6, supercell: 1x2x1

../../_images/fig_kappa7357.png

(a) Temperature-dependent lattice thermal conductivity

../../_images/fig_kappa_vs_grain_size3953.png

(b) Peierls lattice thermal conductivity w.r.t grain size

Phonon lifetime and scattering rates

../../_images/fig_lifetime3865.png

(a) Phonon lifetime due to phonon-phonon scattering

../../_images/fig_scat_rates3864.png

(b) Phonon scattering rates

Cumulative and spectral thermal conductivity

../../_images/fig_cumu_frequency3865.png

(a) Spectral and cumulative thermal conductivity w.r.t frequency

../../_images/fig_cumu_mfp3864.png

(b) Spectral and cumulative thermal conductivity w.r.t MFP

Force constants

../../_images/fig_fc29520.png

(a) Force constants w.r.t atomic distance

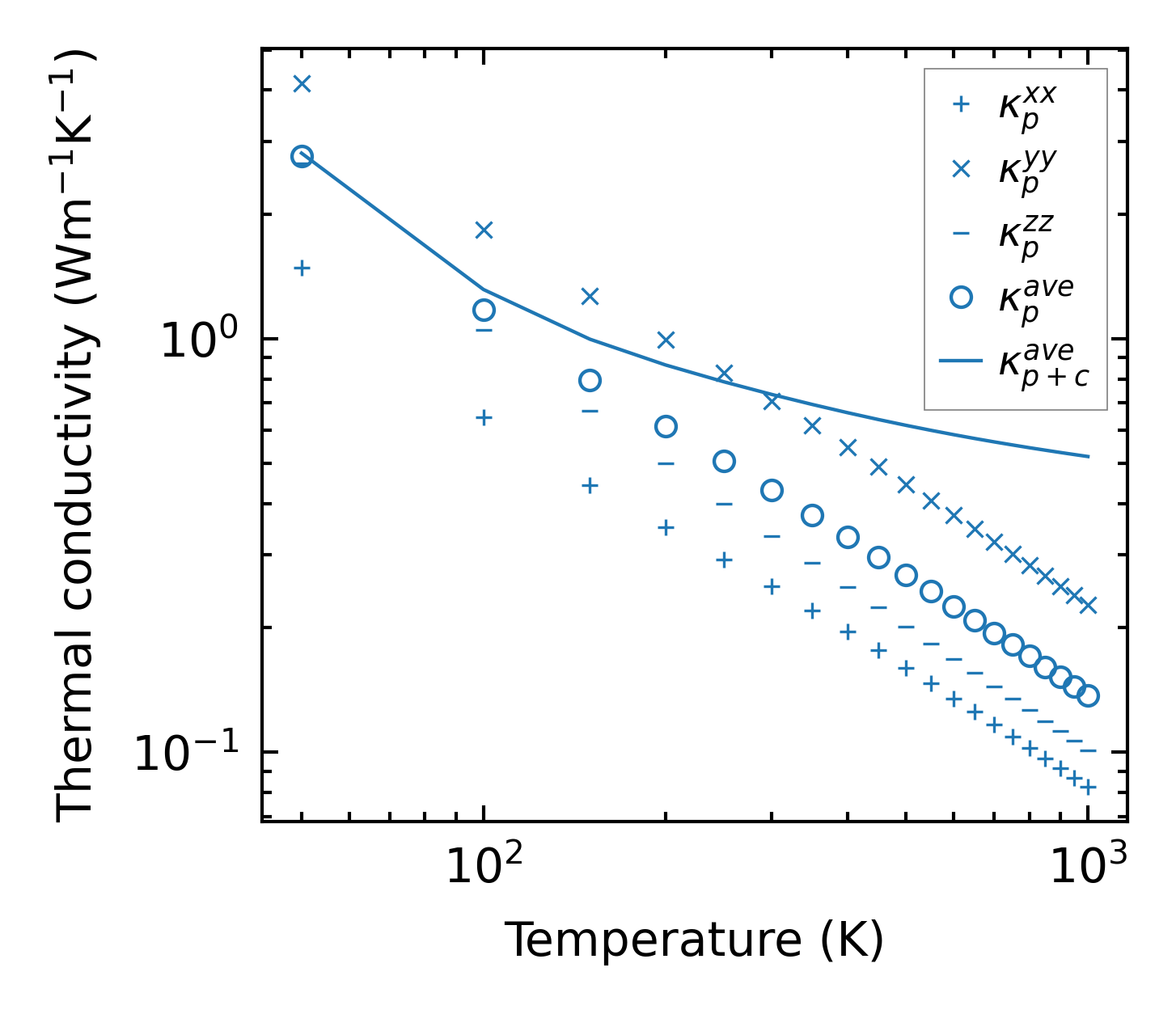
Summary

../../_images/fig_kappa7358.png

(a) Temperature-dependent lattice thermal conductivity

../../_images/fig_times16969.png

(b) Computation time