mp-5634/NdOF/anharm

Harmonic properties

../../_images/fig_bandos13960.png

(a) Phonon dispersion and DOS

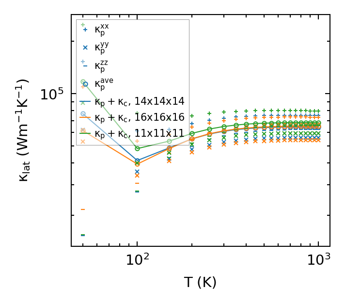
Thermal conductivity

Summary

../../_images/fig_kappa7590.png

(a) Temperature-dependent lattice thermal conductivity

../../_images/fig_times17402.png

(b) Computation time