mp-5478-2/TlPd3O4/anharm

Equation of state

../../_images/fig_bm4989.png

(a) Equation of state

Harmonic properties

../../_images/fig_bandos_pr9985.png

(a) Phonon dispersion with participation ratio and DOS

../../_images/fig_thermo9985.png

(b) Thermodynamic properties

Grüneisen parameters

../../_images/fig_gru_all3999.png

(a) Grüneisen parameters

../../_images/fig_gruneisen3999.png

(b) Phonon dispersion with Grüneisen parameters

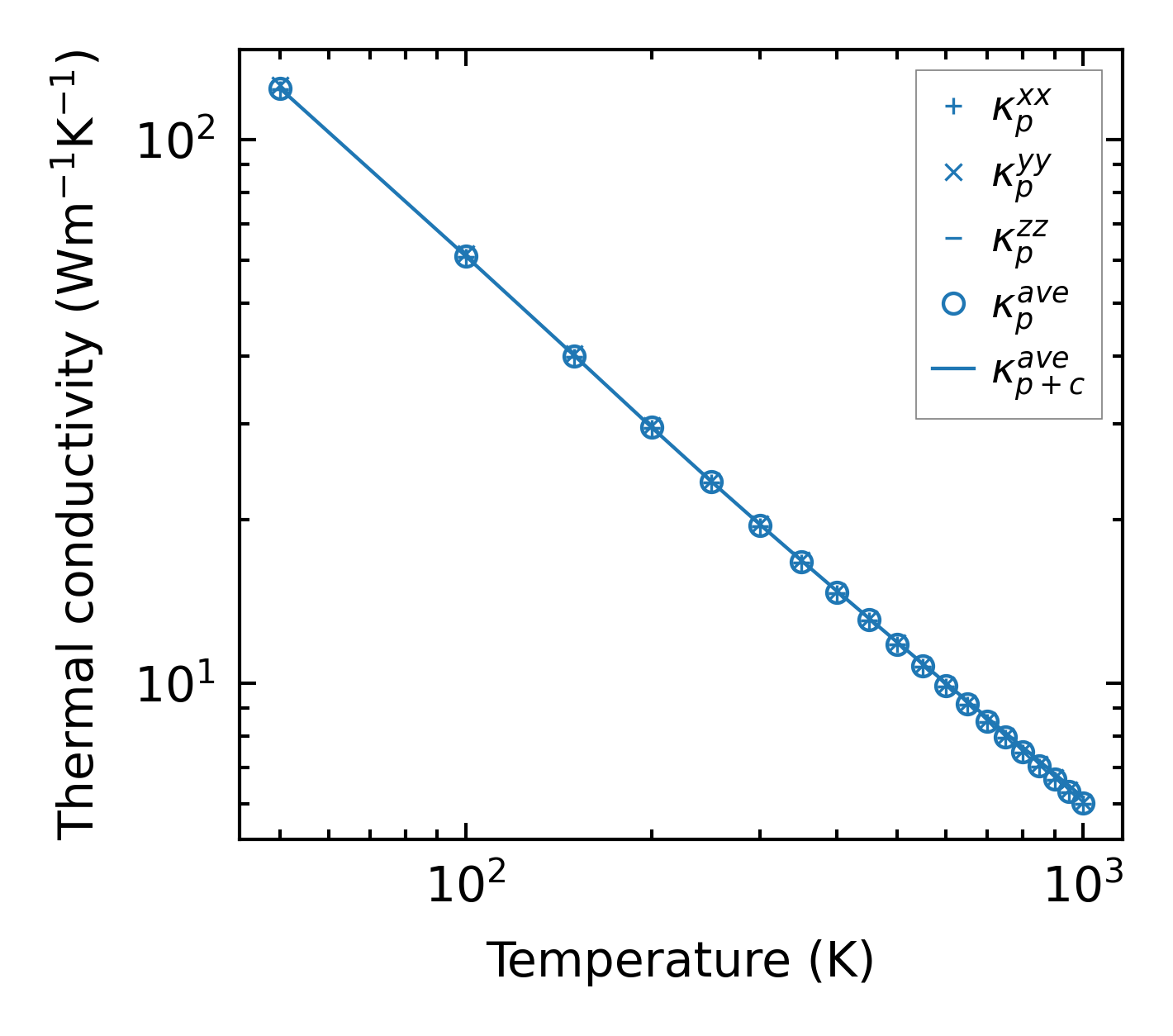
Thermal conductivity

3-phonon (LASSO) — q-mesh: 11x11x11, supercell: 1x1x1

../../_images/fig_kappa7542.png

(a) Temperature-dependent lattice thermal conductivity

../../_images/fig_kappa_vs_grain_size4052.png

(b) Peierls lattice thermal conductivity w.r.t grain size

Phonon lifetime and scattering rates

../../_images/fig_lifetime3961.png

(a) Phonon lifetime due to phonon-phonon scattering

../../_images/fig_scat_rates3960.png

(b) Phonon scattering rates

Cumulative and spectral thermal conductivity

../../_images/fig_cumu_frequency3961.png

(a) Spectral and cumulative thermal conductivity w.r.t frequency

../../_images/fig_cumu_mfp3960.png

(b) Spectral and cumulative thermal conductivity w.r.t MFP

Force constants

../../_images/fig_fc29738.png

(a) Force constants w.r.t atomic distance

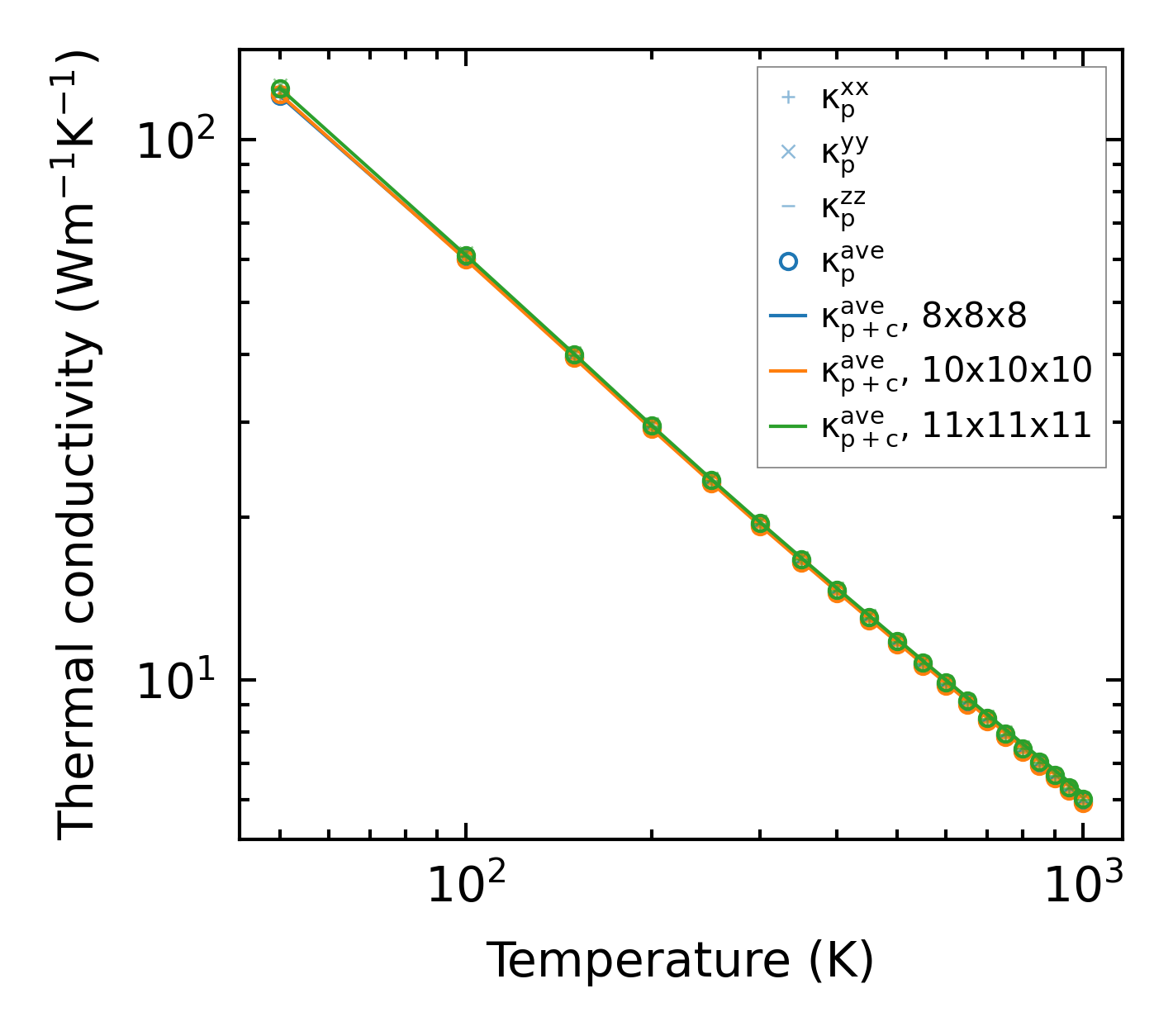
Summary

../../_images/fig_kappa7543.png

(a) Temperature-dependent lattice thermal conductivity

../../_images/fig_times17342.png

(b) Computation time