mp-5416-2/Na2SeO3/anharm

Equation of state

../../_images/fig_bm4976.png

(a) Equation of state

Harmonic properties

../../_images/fig_bandos_pr9965.png

(a) Phonon dispersion with participation ratio and DOS

../../_images/fig_thermo9965.png

(b) Thermodynamic properties

Grüneisen parameters

../../_images/fig_gru_all3992.png

(a) Grüneisen parameters

../../_images/fig_gruneisen3992.png

(b) Phonon dispersion with Grüneisen parameters

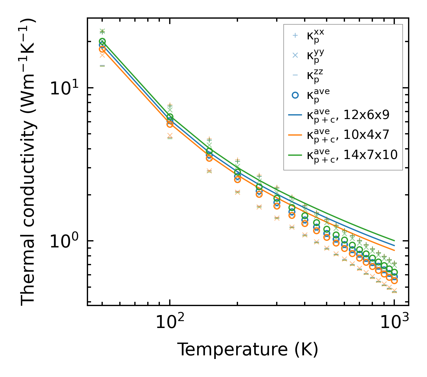
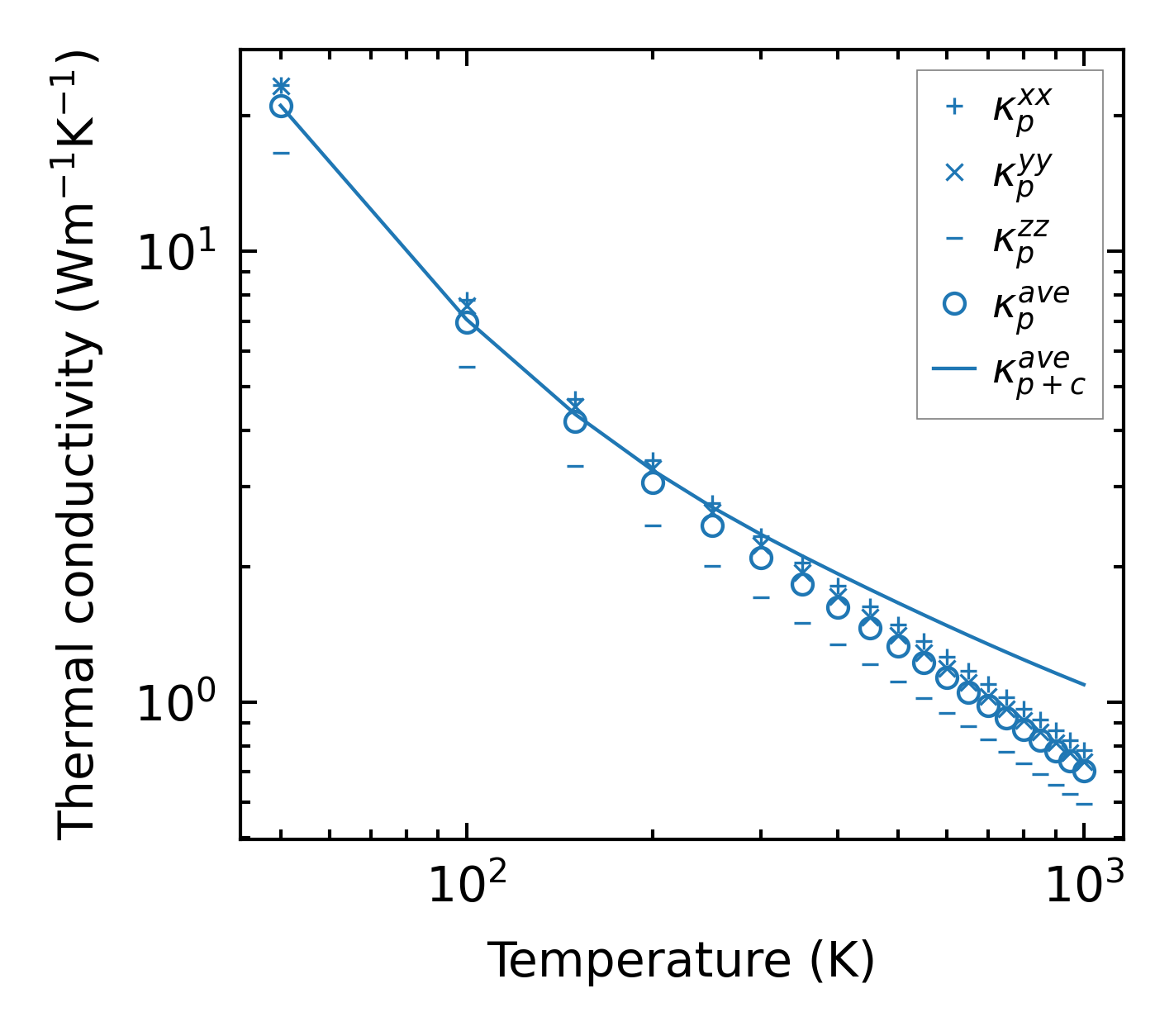
Thermal conductivity

3-phonon (LASSO) — q-mesh: 14x7x10, supercell: 3x1x2

../../_images/fig_kappa7527.png

(a) Temperature-dependent lattice thermal conductivity

../../_images/fig_kappa_vs_grain_size4044.png

(b) Peierls lattice thermal conductivity w.r.t grain size

3-phonon (LASSO), supercell 3x2x2 — q-mesh: 14x7x10, supercell: 3x2x2

../../_images/fig_kappa7528.png

(a) Temperature-dependent lattice thermal conductivity

../../_images/fig_kappa_vs_grain_size4045.png

(b) Peierls lattice thermal conductivity w.r.t grain size

Phonon lifetime and scattering rates

../../_images/fig_lifetime3954.png

(a) Phonon lifetime due to phonon-phonon scattering

../../_images/fig_scat_rates3953.png

(b) Phonon scattering rates

Cumulative and spectral thermal conductivity

../../_images/fig_cumu_frequency3954.png

(a) Spectral and cumulative thermal conductivity w.r.t frequency

../../_images/fig_cumu_mfp3953.png

(b) Spectral and cumulative thermal conductivity w.r.t MFP

Force constants

../../_images/fig_fc29718.png

(a) Force constants w.r.t atomic distance

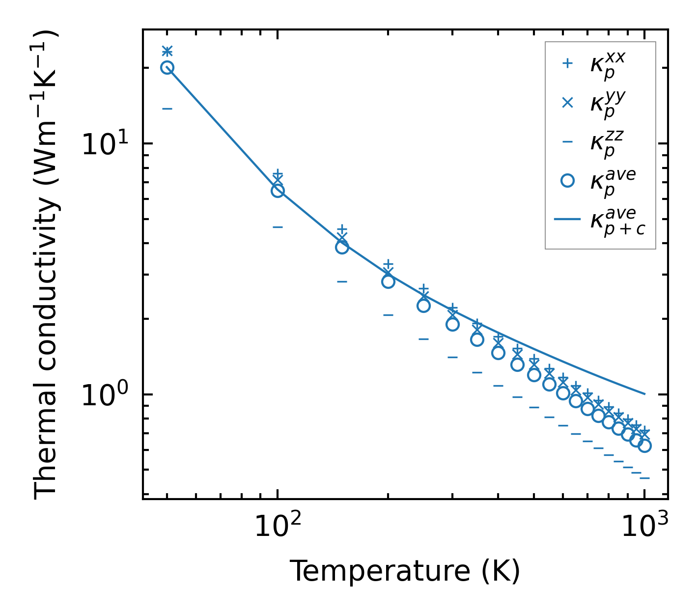
Summary

../../_images/fig_kappa7529.png

(a) Temperature-dependent lattice thermal conductivity

../../_images/fig_times17311.png

(b) Computation time