mp-5632-2/DyAsO4/anharm

Equation of state

../../_images/fig_bm5015.png

(a) Equation of state

Harmonic properties

../../_images/fig_bandos_pr10025.png

(a) Phonon dispersion with participation ratio and DOS

../../_images/fig_thermo10025.png

(b) Thermodynamic properties

Grüneisen parameters

../../_images/fig_gru_all4024.png

(a) Grüneisen parameters

../../_images/fig_gruneisen4024.png

(b) Phonon dispersion with Grüneisen parameters

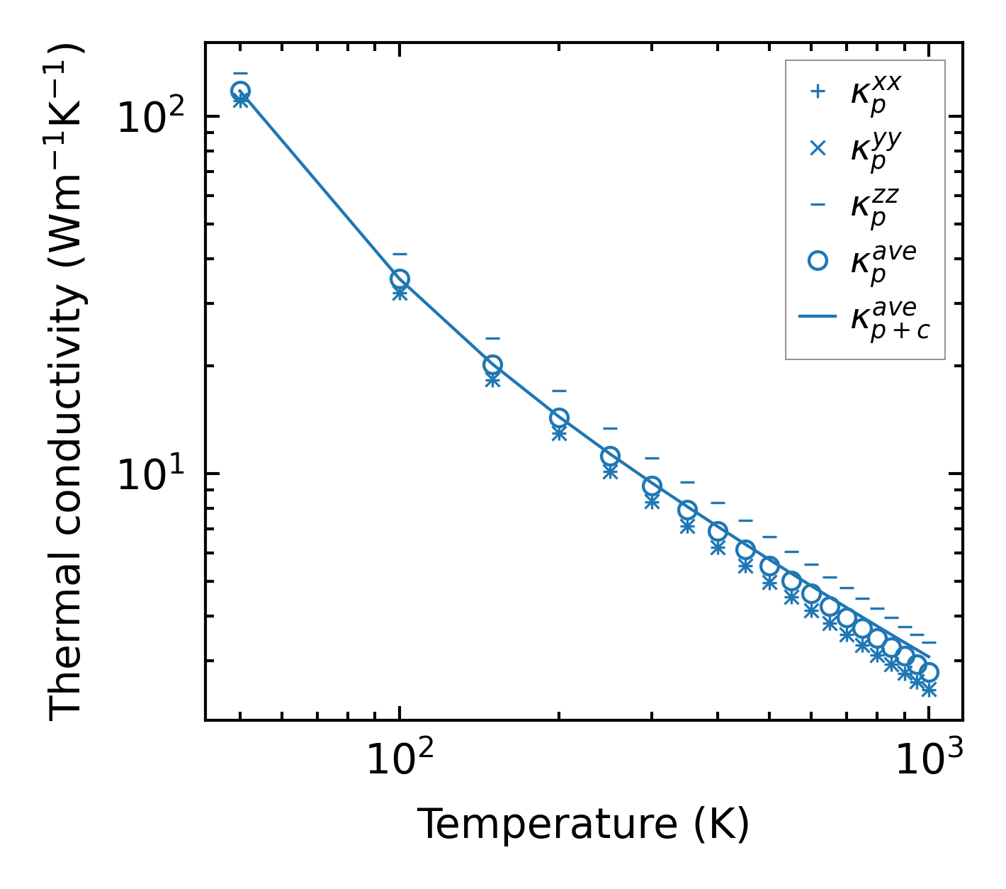
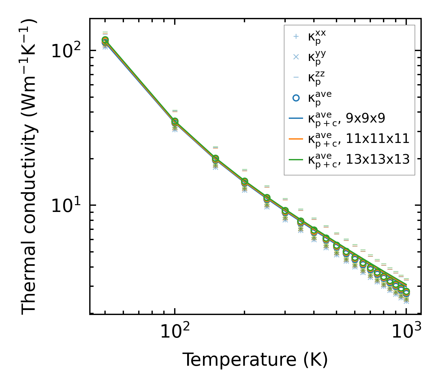
Thermal conductivity

3-phonon (LASSO) — q-mesh: 13x13x13, supercell: 1x1x2

../../_images/fig_kappa7588.png

(a) Temperature-dependent lattice thermal conductivity

../../_images/fig_kappa_vs_grain_size4077.png

(b) Peierls lattice thermal conductivity w.r.t grain size

Phonon lifetime and scattering rates

../../_images/fig_lifetime3986.png

(a) Phonon lifetime due to phonon-phonon scattering

../../_images/fig_scat_rates3985.png

(b) Phonon scattering rates

Cumulative and spectral thermal conductivity

../../_images/fig_cumu_frequency3986.png

(a) Spectral and cumulative thermal conductivity w.r.t frequency

../../_images/fig_cumu_mfp3985.png

(b) Spectral and cumulative thermal conductivity w.r.t MFP

Force constants

../../_images/fig_fc29778.png

(a) Force constants w.r.t atomic distance

Summary

../../_images/fig_kappa7589.png

(a) Temperature-dependent lattice thermal conductivity

../../_images/fig_times17401.png

(b) Computation time