mp-5878-2/KZnF3/anharm

Equation of state

../../_images/fig_bm4863.png

(a) Equation of state

Harmonic properties

../../_images/fig_bandos_pr9754.png

(a) Phonon dispersion with participation ratio and DOS

../../_images/fig_thermo9754.png

(b) Thermodynamic properties

Grüneisen parameters

../../_images/fig_gru_all3897.png

(a) Grüneisen parameters

../../_images/fig_gruneisen3897.png

(b) Phonon dispersion with Grüneisen parameters

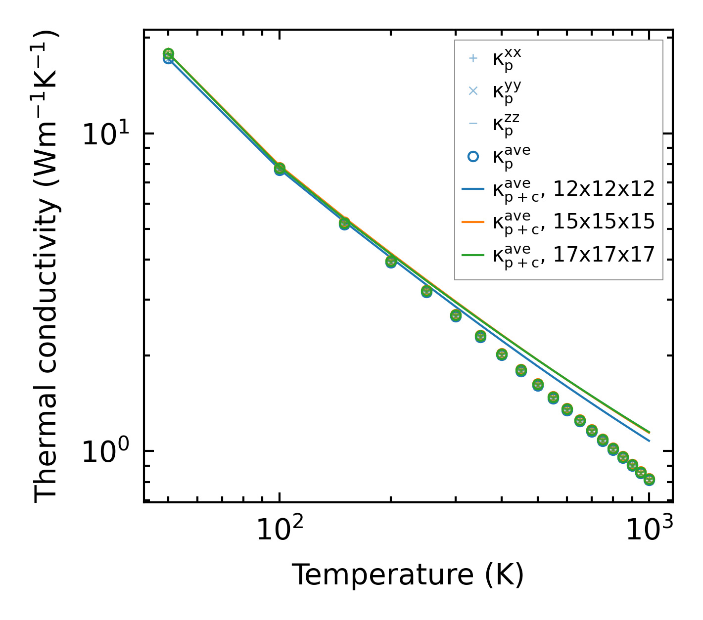
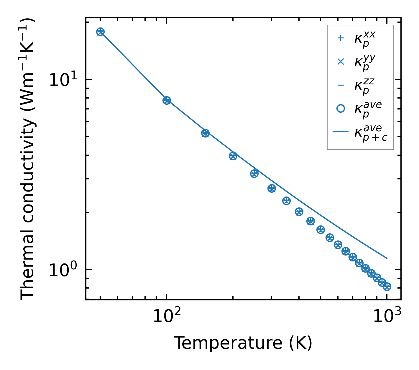
Thermal conductivity

3-phonon — q-mesh: 17x17x17, supercell: 3x3x3

../../_images/fig_kappa7346.png

(a) Temperature-dependent lattice thermal conductivity

../../_images/fig_kappa_vs_grain_size3947.png

(b) Peierls lattice thermal conductivity w.r.t grain size

3-phonon, supercell 4x4x4 — q-mesh: 17x17x17, supercell: 4x4x4

../../_images/fig_kappa7347.png

(a) Temperature-dependent lattice thermal conductivity

../../_images/fig_kappa_vs_grain_size3948.png

(b) Peierls lattice thermal conductivity w.r.t grain size

Phonon lifetime and scattering rates

../../_images/fig_lifetime3860.png

(a) Phonon lifetime due to phonon-phonon scattering

../../_images/fig_scat_rates3859.png

(b) Phonon scattering rates

Cumulative and spectral thermal conductivity

../../_images/fig_cumu_frequency3860.png

(a) Spectral and cumulative thermal conductivity w.r.t frequency

../../_images/fig_cumu_mfp3859.png

(b) Spectral and cumulative thermal conductivity w.r.t MFP

Force constants

../../_images/fig_fc3242.png

(a) Force constants w.r.t atomic distance

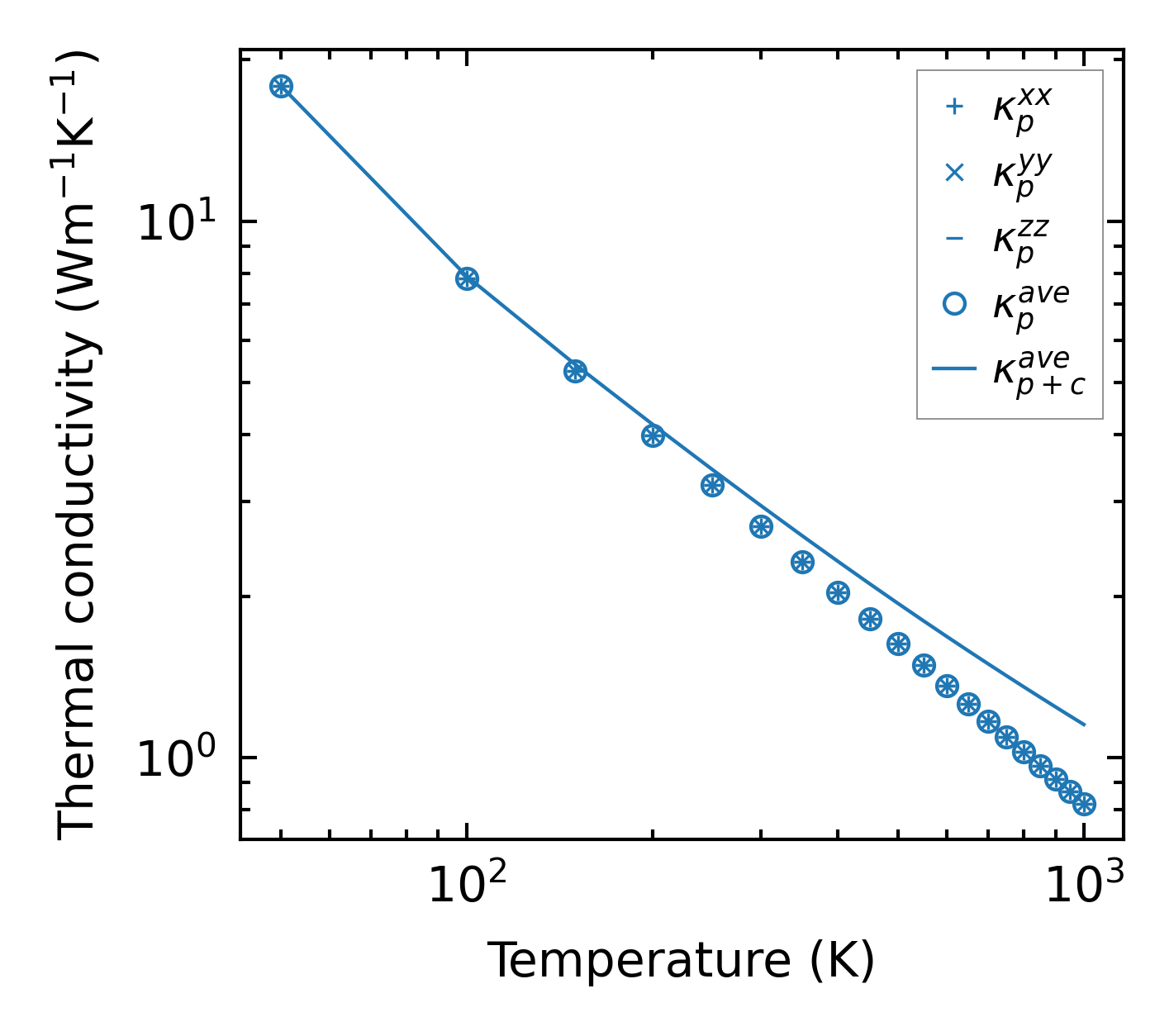
Summary

../../_images/fig_kappa7348.png

(a) Temperature-dependent lattice thermal conductivity

../../_images/fig_times16959.png

(b) Computation time