mp-4975/RbZnF3/anharm

Harmonic properties

../../_images/fig_bandos_pr10181.png

(a) Phonon dispersion with participation ratio and DOS

../../_images/fig_thermo10181.png

(b) Thermodynamic properties

Grüneisen parameters

../../_images/fig_gru_all4112.png

(a) Grüneisen parameters

../../_images/fig_gruneisen4112.png

(b) Phonon dispersion with Grüneisen parameters

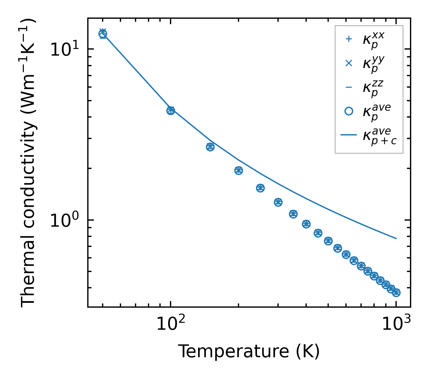
Thermal conductivity

3-phonon (LASSO) — q-mesh: 12x12x5, supercell: 2x2x1

../../_images/fig_kappa7754.png

(a) Temperature-dependent lattice thermal conductivity

../../_images/fig_kappa_vs_grain_size4167.png

(b) Peierls lattice thermal conductivity w.r.t grain size

Phonon lifetime and scattering rates

../../_images/fig_lifetime4074.png

(a) Phonon lifetime due to phonon-phonon scattering

../../_images/fig_scat_rates4073.png

(b) Phonon scattering rates

Cumulative and spectral thermal conductivity

../../_images/fig_cumu_frequency4074.png

(a) Spectral and cumulative thermal conductivity w.r.t frequency

../../_images/fig_cumu_mfp4073.png

(b) Spectral and cumulative thermal conductivity w.r.t MFP

Force constants

../../_images/fig_fc29932.png

(a) Force constants w.r.t atomic distance

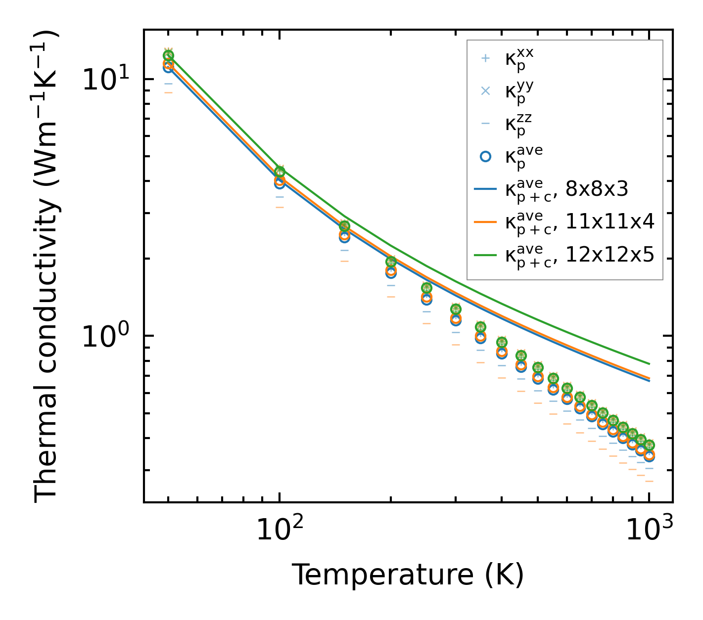
Summary

../../_images/fig_kappa7755.png

(a) Temperature-dependent lattice thermal conductivity

../../_images/fig_times17635.png

(b) Computation time