mp-4081/TaCu3Se4/anharm

Harmonic properties

../../_images/fig_bandos_pr10328.png

(a) Phonon dispersion with participation ratio and DOS

../../_images/fig_thermo10328.png

(b) Thermodynamic properties

Grüneisen parameters

../../_images/fig_gru_all4166.png

(a) Grüneisen parameters

../../_images/fig_gruneisen4166.png

(b) Phonon dispersion with Grüneisen parameters

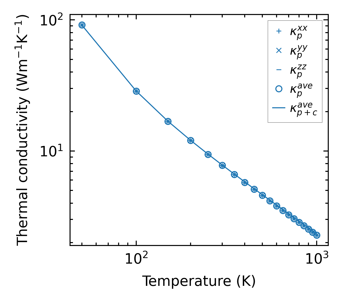
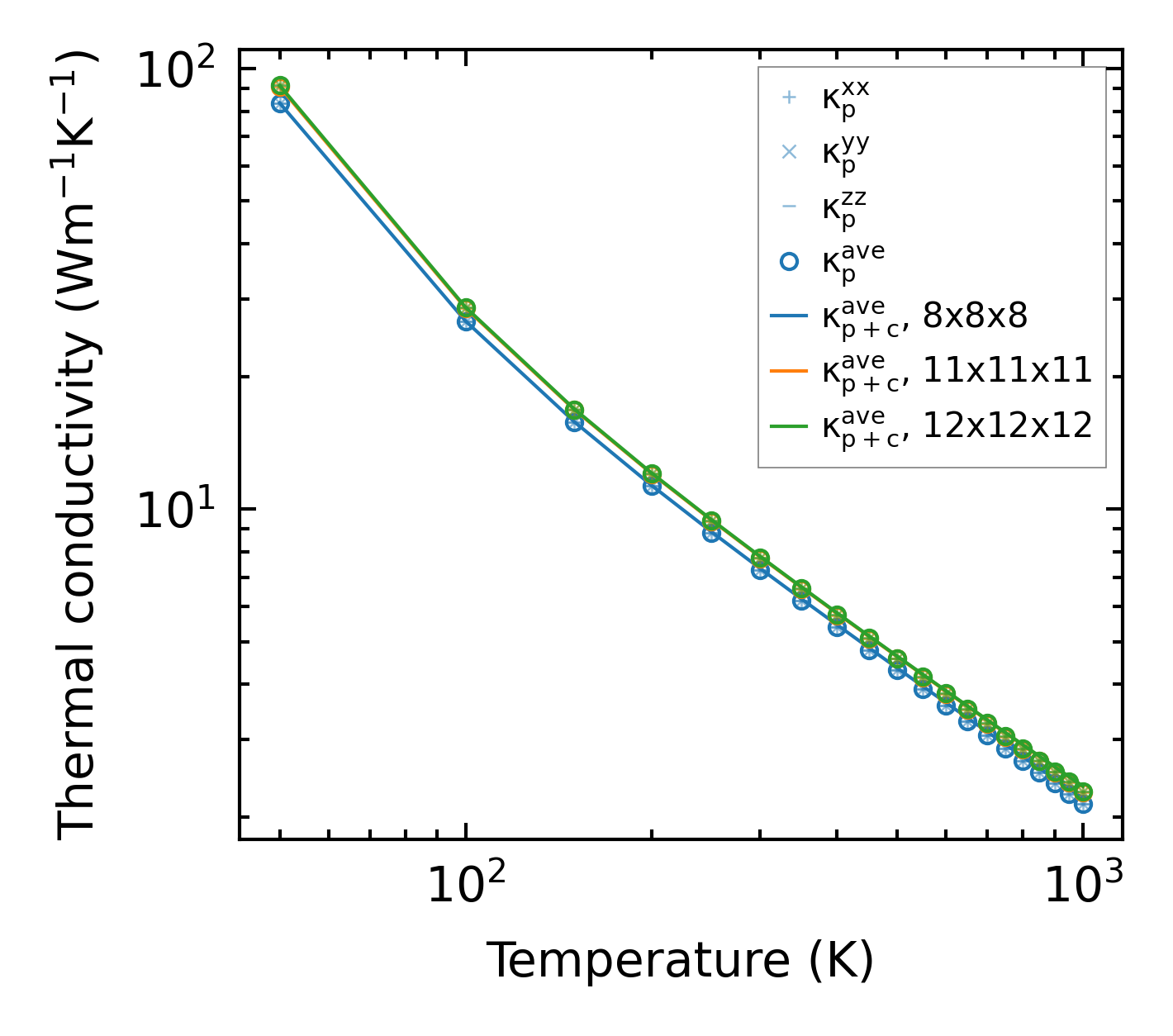
Thermal conductivity

3-phonon (LASSO) — q-mesh: 12x12x12, supercell: 2x2x2

../../_images/fig_kappa7854.png

(a) Temperature-dependent lattice thermal conductivity

../../_images/fig_kappa_vs_grain_size4221.png

(b) Peierls lattice thermal conductivity w.r.t grain size

Phonon lifetime and scattering rates

../../_images/fig_lifetime4127.png

(a) Phonon lifetime due to phonon-phonon scattering

../../_images/fig_scat_rates4126.png

(b) Phonon scattering rates

Cumulative and spectral thermal conductivity

../../_images/fig_cumu_frequency4127.png

(a) Spectral and cumulative thermal conductivity w.r.t frequency

../../_images/fig_cumu_mfp4126.png

(b) Spectral and cumulative thermal conductivity w.r.t MFP

Force constants

../../_images/fig_fc210074.png

(a) Force constants w.r.t atomic distance

Summary

../../_images/fig_kappa7855.png

(a) Temperature-dependent lattice thermal conductivity

../../_images/fig_times17833.png

(b) Computation time