mp-4068/Na2GeS3/anharm

Harmonic properties

../../_images/fig_bandos_pr10323.png

(a) Phonon dispersion with participation ratio and DOS

../../_images/fig_thermo10323.png

(b) Thermodynamic properties

Grüneisen parameters

../../_images/fig_gru_all4163.png

(a) Grüneisen parameters

../../_images/fig_gruneisen4163.png

(b) Phonon dispersion with Grüneisen parameters

Thermal conductivity

3-phonon (LASSO) — q-mesh: 10x4x12, supercell: 2x1x3

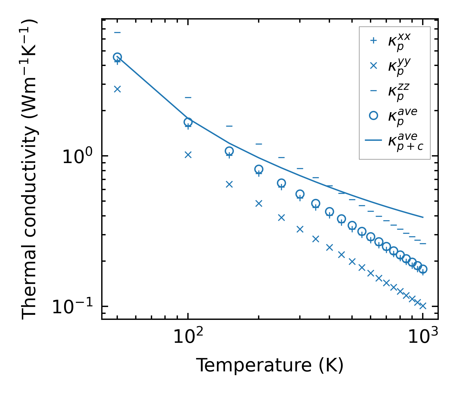
../../_images/fig_kappa7848.png

(a) Temperature-dependent lattice thermal conductivity

../../_images/fig_kappa_vs_grain_size4218.png

(b) Peierls lattice thermal conductivity w.r.t grain size

Phonon lifetime and scattering rates

../../_images/fig_lifetime4124.png

(a) Phonon lifetime due to phonon-phonon scattering

../../_images/fig_scat_rates4123.png

(b) Phonon scattering rates

Cumulative and spectral thermal conductivity

../../_images/fig_cumu_frequency4124.png

(a) Spectral and cumulative thermal conductivity w.r.t frequency

../../_images/fig_cumu_mfp4123.png

(b) Spectral and cumulative thermal conductivity w.r.t MFP

Force constants

../../_images/fig_fc210071.png

(a) Force constants w.r.t atomic distance

Summary

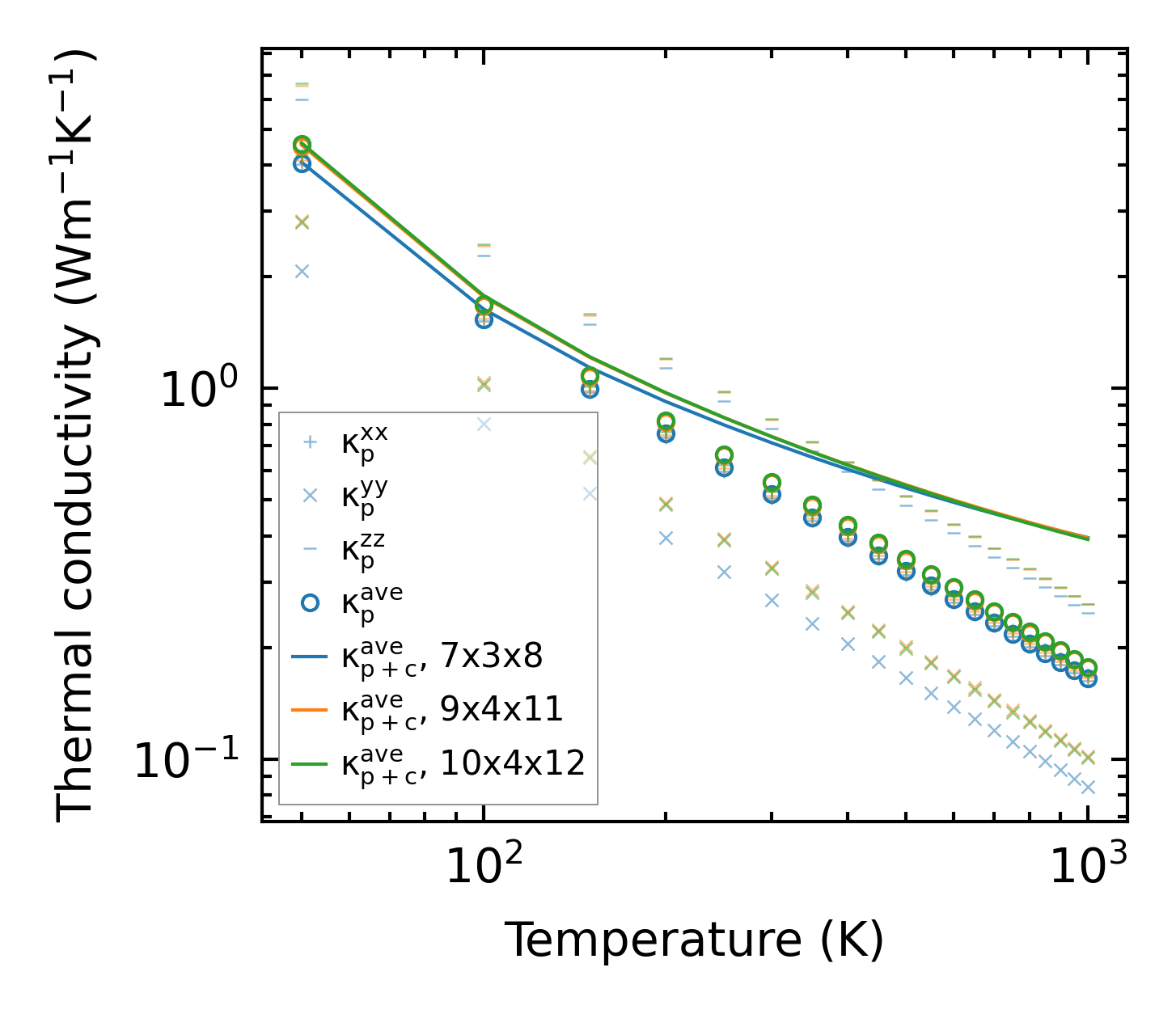
../../_images/fig_kappa7849.png

(a) Temperature-dependent lattice thermal conductivity

../../_images/fig_times17828.png

(b) Computation time