mp-4533-2/Na2SiO3/harm

Equation of state

../../_images/fig_bm5234.png

(a) Equation of state

Harmonic properties

../../_images/fig_bandos_pr10436.png

(a) Phonon dispersion with participation ratio and DOS

../../_images/fig_bandos14374.png

(b) Phonon dispersion and DOS

../../_images/fig_thermo10436.png

(c) Thermodynamic properties

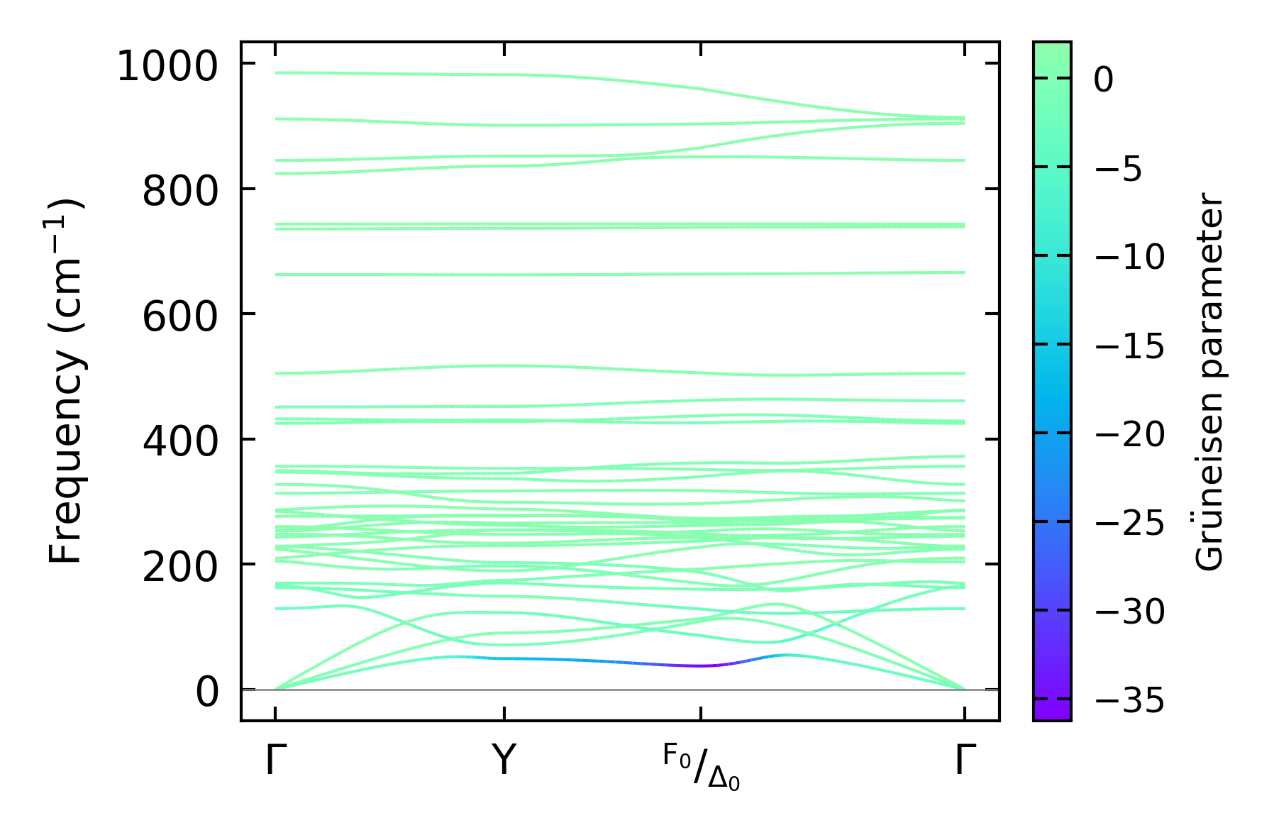
Grüneisen parameters

../../_images/fig_gru_all4229.png

(a) Grüneisen parameters

../../_images/fig_gruneisen4229.png

(b) Phonon dispersion with Grüneisen parameters

Force constants

../../_images/fig_fc210179.png

(a) Force constants w.r.t atomic distance

Summary

../../_images/fig_times17990.png

(a) Computation time