mp-4481/Ca2SiO4/anharm

Harmonic properties

../../_images/fig_bandos_pr10420.png

(a) Phonon dispersion with participation ratio and DOS

../../_images/fig_thermo10420.png

(b) Thermodynamic properties

Grüneisen parameters

../../_images/fig_gru_all4220.png

(a) Grüneisen parameters

../../_images/fig_gruneisen4220.png

(b) Phonon dispersion with Grüneisen parameters

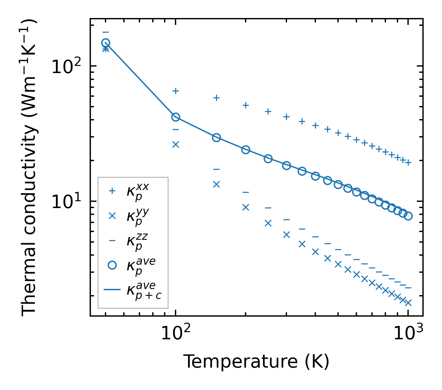
Thermal conductivity

3-phonon (LASSO) — q-mesh: 6x10x14, supercell: 1x2x2

../../_images/fig_kappa7956.png

(a) Temperature-dependent lattice thermal conductivity

../../_images/fig_kappa_vs_grain_size4274.png

(b) Peierls lattice thermal conductivity w.r.t grain size

Phonon lifetime and scattering rates

../../_images/fig_lifetime4180.png

(a) Phonon lifetime due to phonon-phonon scattering

../../_images/fig_scat_rates4179.png

(b) Phonon scattering rates

Cumulative and spectral thermal conductivity

../../_images/fig_cumu_frequency4180.png

(a) Spectral and cumulative thermal conductivity w.r.t frequency

../../_images/fig_cumu_mfp4179.png

(b) Spectral and cumulative thermal conductivity w.r.t MFP

Force constants

../../_images/fig_fc210163.png

(a) Force constants w.r.t atomic distance

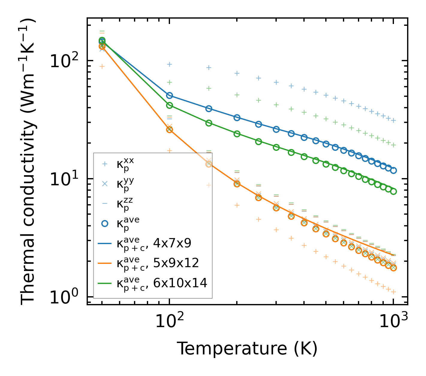
Summary

../../_images/fig_kappa7957.png

(a) Temperature-dependent lattice thermal conductivity

../../_images/fig_times17971.png

(b) Computation time