mp-4009-2/BaPdS2/anharm

Equation of state

../../_images/fig_bm5165.png

(a) Equation of state

Harmonic properties

../../_images/fig_bandos_pr10305.png

(a) Phonon dispersion with participation ratio and DOS

../../_images/fig_bandos14257.png

(b) Phonon dispersion and DOS

../../_images/fig_thermo10305.png

(c) Thermodynamic properties

Grüneisen parameters

../../_images/fig_gru_all4152.png

(a) Grüneisen parameters

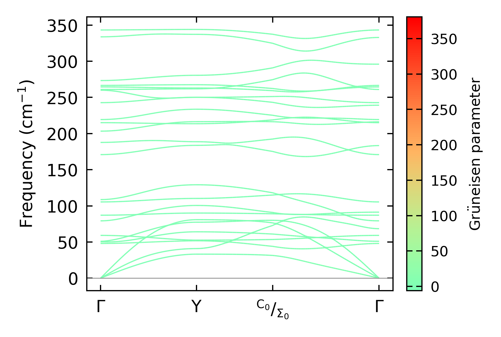
../../_images/fig_gruneisen4152.png

(b) Phonon dispersion with Grüneisen parameters

Thermal conductivity

3-phonon (LASSO), supercell 2x2x3 — q-mesh: 11x11x13, supercell: 2x2x3

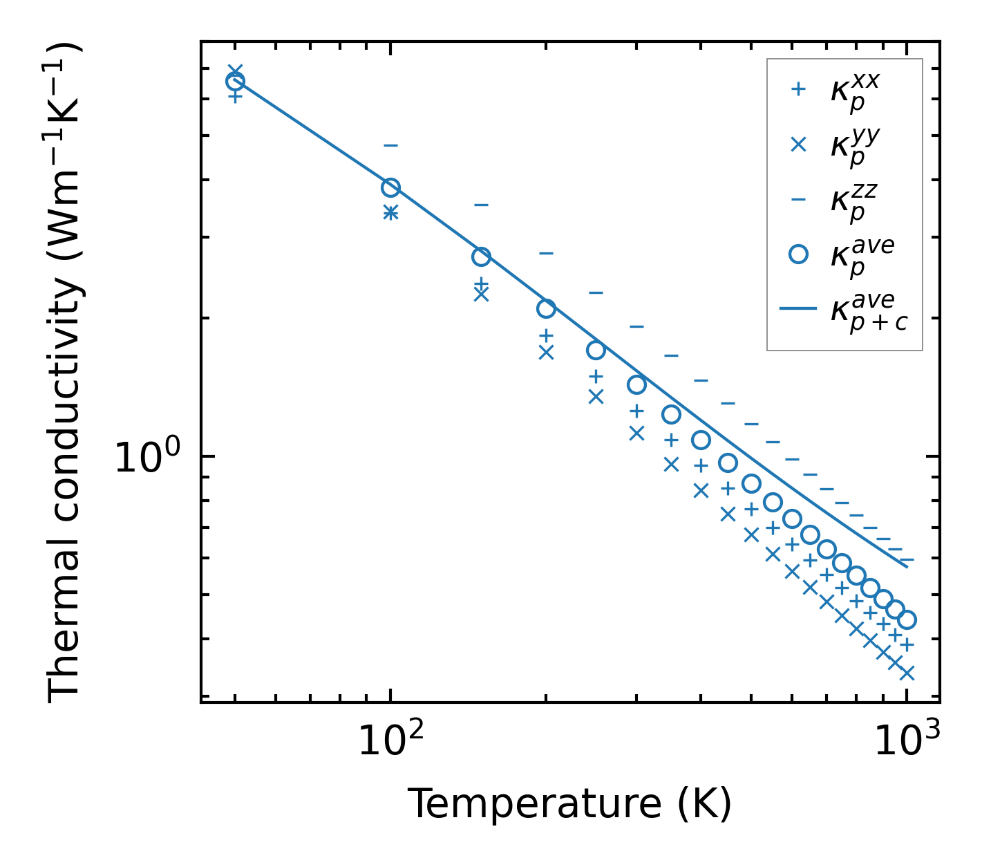
../../_images/fig_kappa7830.png

(a) Temperature-dependent lattice thermal conductivity

../../_images/fig_kappa_vs_grain_size4208.png

(b) Peierls lattice thermal conductivity w.r.t grain size

Phonon lifetime and scattering rates

../../_images/fig_lifetime4114.png

(a) Phonon lifetime due to phonon-phonon scattering

../../_images/fig_scat_rates4113.png

(b) Phonon scattering rates

Cumulative and spectral thermal conductivity

../../_images/fig_cumu_frequency4114.png

(a) Spectral and cumulative thermal conductivity w.r.t frequency

../../_images/fig_cumu_mfp4113.png

(b) Spectral and cumulative thermal conductivity w.r.t MFP

Force constants

../../_images/fig_fc210055.png

(a) Force constants w.r.t atomic distance

Summary

../../_images/fig_times17806.png

(a) Computation time