mp-4425/Ta2Pt3Se8/anharm

Harmonic properties

../../_images/fig_bandos_pr10406.png

(a) Phonon dispersion with participation ratio and DOS

../../_images/fig_thermo10406.png

(b) Thermodynamic properties

Grüneisen parameters

../../_images/fig_gru_all4212.png

(a) Grüneisen parameters

../../_images/fig_gruneisen4212.png

(b) Phonon dispersion with Grüneisen parameters

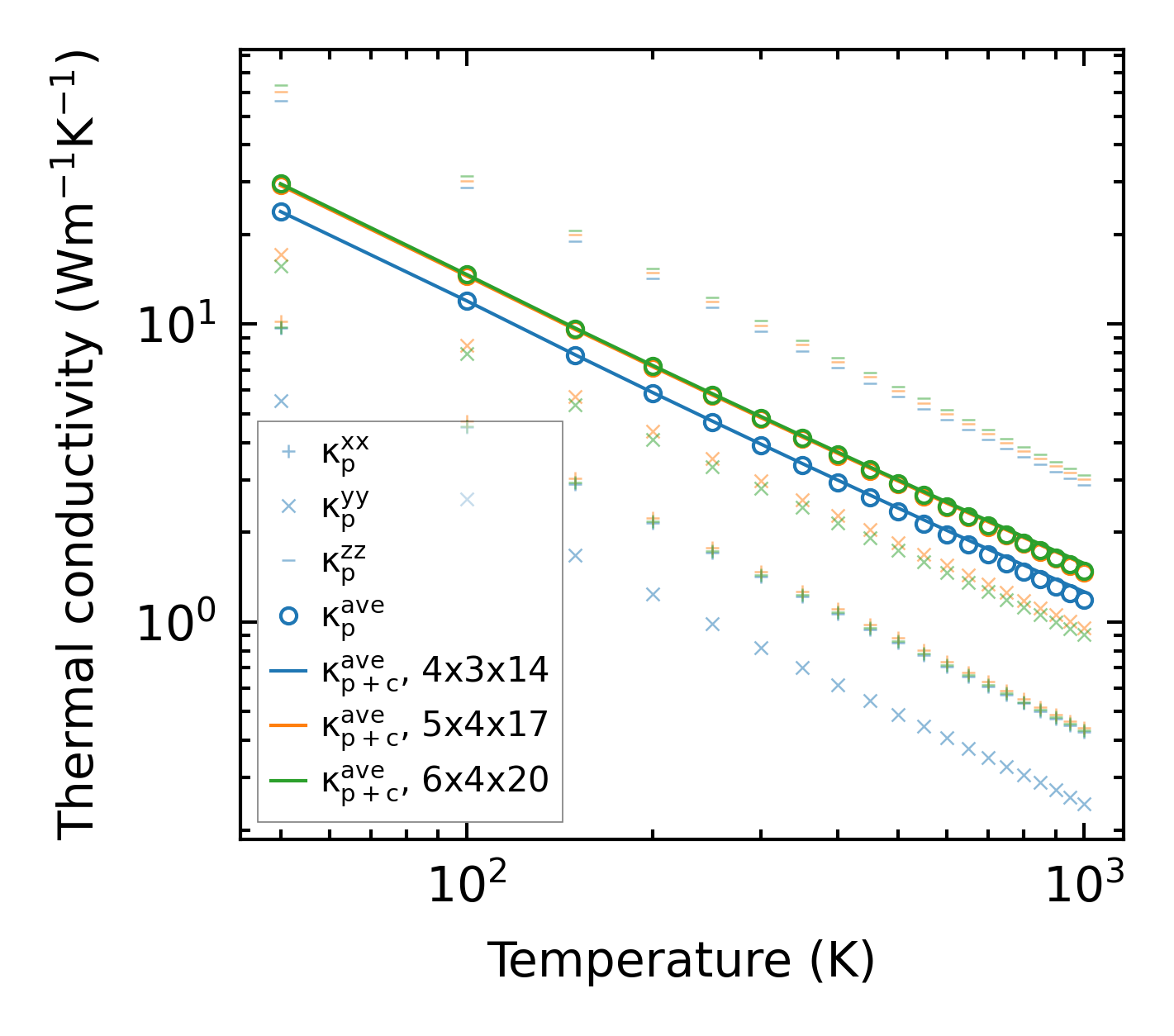
Thermal conductivity

3-phonon (LASSO) — q-mesh: 6x4x20, supercell: 1x1x4

../../_images/fig_kappa7941.png

(a) Temperature-dependent lattice thermal conductivity

../../_images/fig_kappa_vs_grain_size4266.png

(b) Peierls lattice thermal conductivity w.r.t grain size

Phonon lifetime and scattering rates

../../_images/fig_lifetime4172.png

(a) Phonon lifetime due to phonon-phonon scattering

../../_images/fig_scat_rates4171.png

(b) Phonon scattering rates

Cumulative and spectral thermal conductivity

../../_images/fig_cumu_frequency4172.png

(a) Spectral and cumulative thermal conductivity w.r.t frequency

../../_images/fig_cumu_mfp4171.png

(b) Spectral and cumulative thermal conductivity w.r.t MFP

Force constants

../../_images/fig_fc210149.png

(a) Force constants w.r.t atomic distance

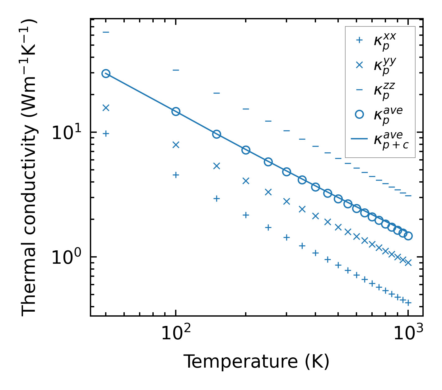
Summary

../../_images/fig_kappa7942.png

(a) Temperature-dependent lattice thermal conductivity

../../_images/fig_times17950.png

(b) Computation time