mp-4038-2/Sm3S3N/anharm

Equation of state

../../_images/fig_bm5168.png

(a) Equation of state

Harmonic properties

../../_images/fig_bandos_pr10312.png

(a) Phonon dispersion with participation ratio and DOS

../../_images/fig_thermo10312.png

(b) Thermodynamic properties

Grüneisen parameters

../../_images/fig_gru_all4158.png

(a) Grüneisen parameters

../../_images/fig_gruneisen4158.png

(b) Phonon dispersion with Grüneisen parameters

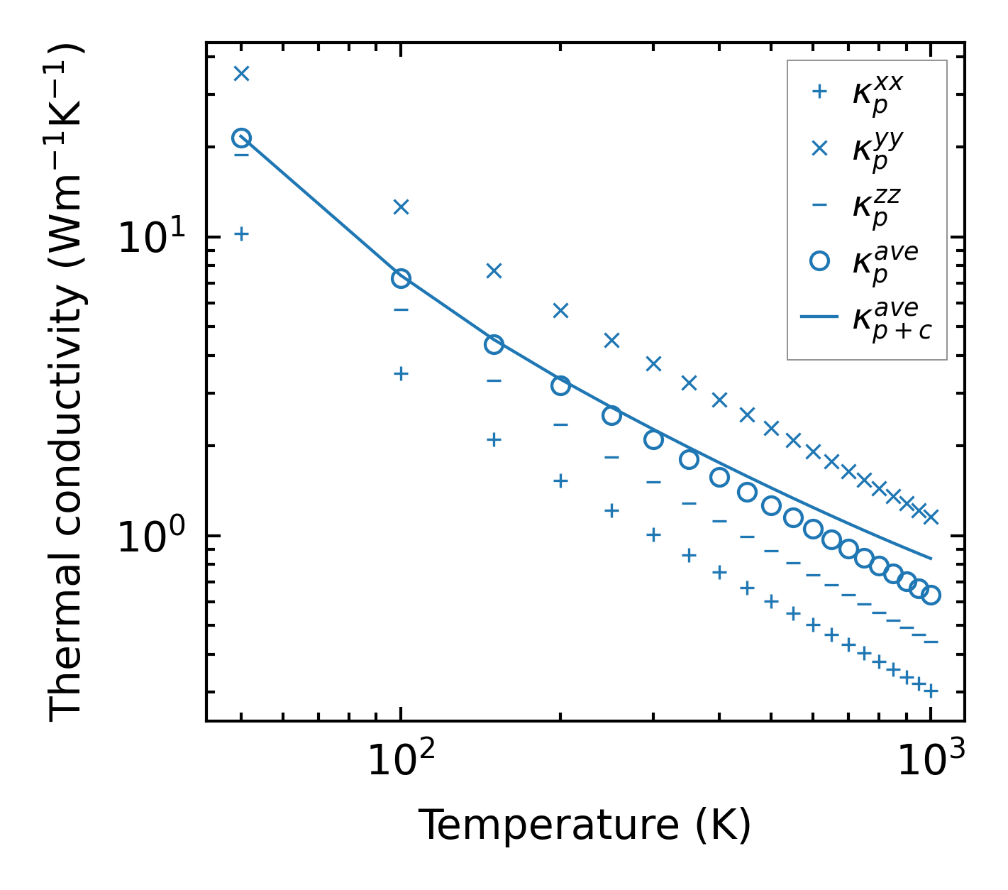
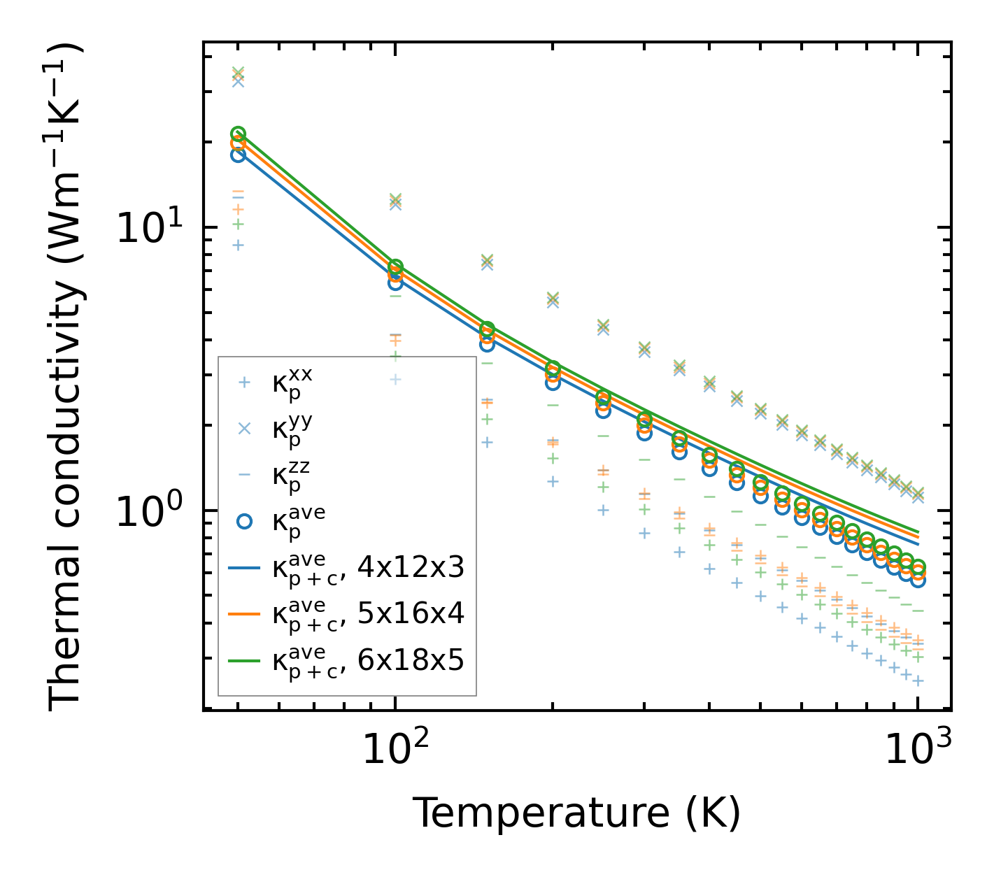
Thermal conductivity

3-phonon (LASSO) — q-mesh: 6x18x5, supercell: 1x4x1

../../_images/fig_kappa7838.png

(a) Temperature-dependent lattice thermal conductivity

../../_images/fig_kappa_vs_grain_size4213.png

(b) Peierls lattice thermal conductivity w.r.t grain size

Phonon lifetime and scattering rates

../../_images/fig_lifetime4119.png

(a) Phonon lifetime due to phonon-phonon scattering

../../_images/fig_scat_rates4118.png

(b) Phonon scattering rates

Cumulative and spectral thermal conductivity

../../_images/fig_cumu_frequency4119.png

(a) Spectral and cumulative thermal conductivity w.r.t frequency

../../_images/fig_cumu_mfp4118.png

(b) Spectral and cumulative thermal conductivity w.r.t MFP

Force constants

../../_images/fig_fc210061.png

(a) Force constants w.r.t atomic distance

Summary

../../_images/fig_kappa7839.png

(a) Temperature-dependent lattice thermal conductivity

../../_images/fig_times17815.png

(b) Computation time