mp-4541/NaCuO2/anharm

Harmonic properties

../../_images/fig_bandos_pr10438.png

(a) Phonon dispersion with participation ratio and DOS

../../_images/fig_thermo10438.png

(b) Thermodynamic properties

Grüneisen parameters

../../_images/fig_gru_all4231.png

(a) Grüneisen parameters

../../_images/fig_gruneisen4231.png

(b) Phonon dispersion with Grüneisen parameters

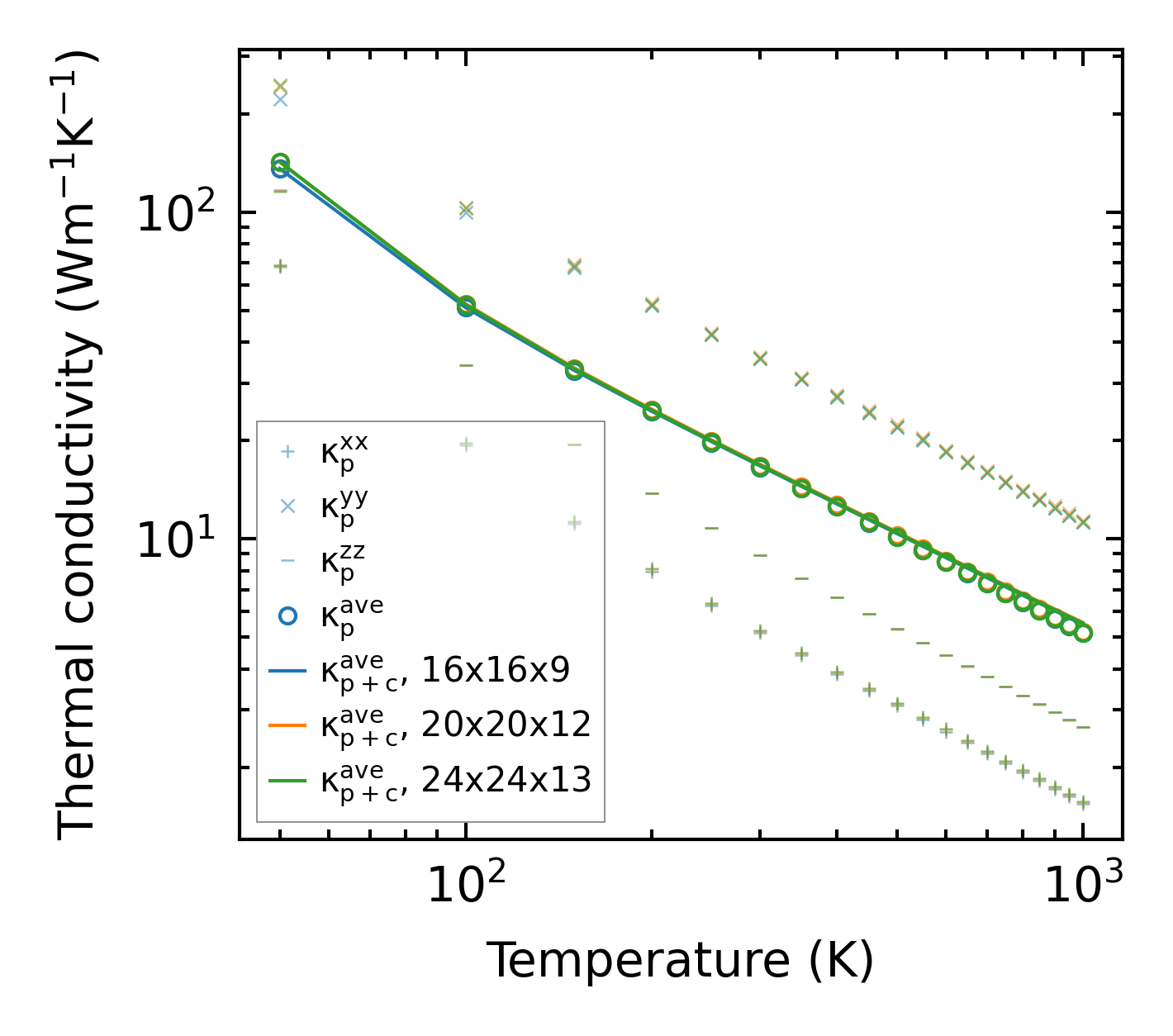
Thermal conductivity

3-phonon (LASSO) — q-mesh: 24x24x13, supercell: 2x4x2

../../_images/fig_kappa7974.png

(a) Temperature-dependent lattice thermal conductivity

../../_images/fig_kappa_vs_grain_size4284.png

(b) Peierls lattice thermal conductivity w.r.t grain size

Phonon lifetime and scattering rates

../../_images/fig_lifetime4190.png

(a) Phonon lifetime due to phonon-phonon scattering

../../_images/fig_scat_rates4189.png

(b) Phonon scattering rates

Cumulative and spectral thermal conductivity

../../_images/fig_cumu_frequency4190.png

(a) Spectral and cumulative thermal conductivity w.r.t frequency

../../_images/fig_cumu_mfp4189.png

(b) Spectral and cumulative thermal conductivity w.r.t MFP

Force constants

../../_images/fig_fc210181.png

(a) Force constants w.r.t atomic distance

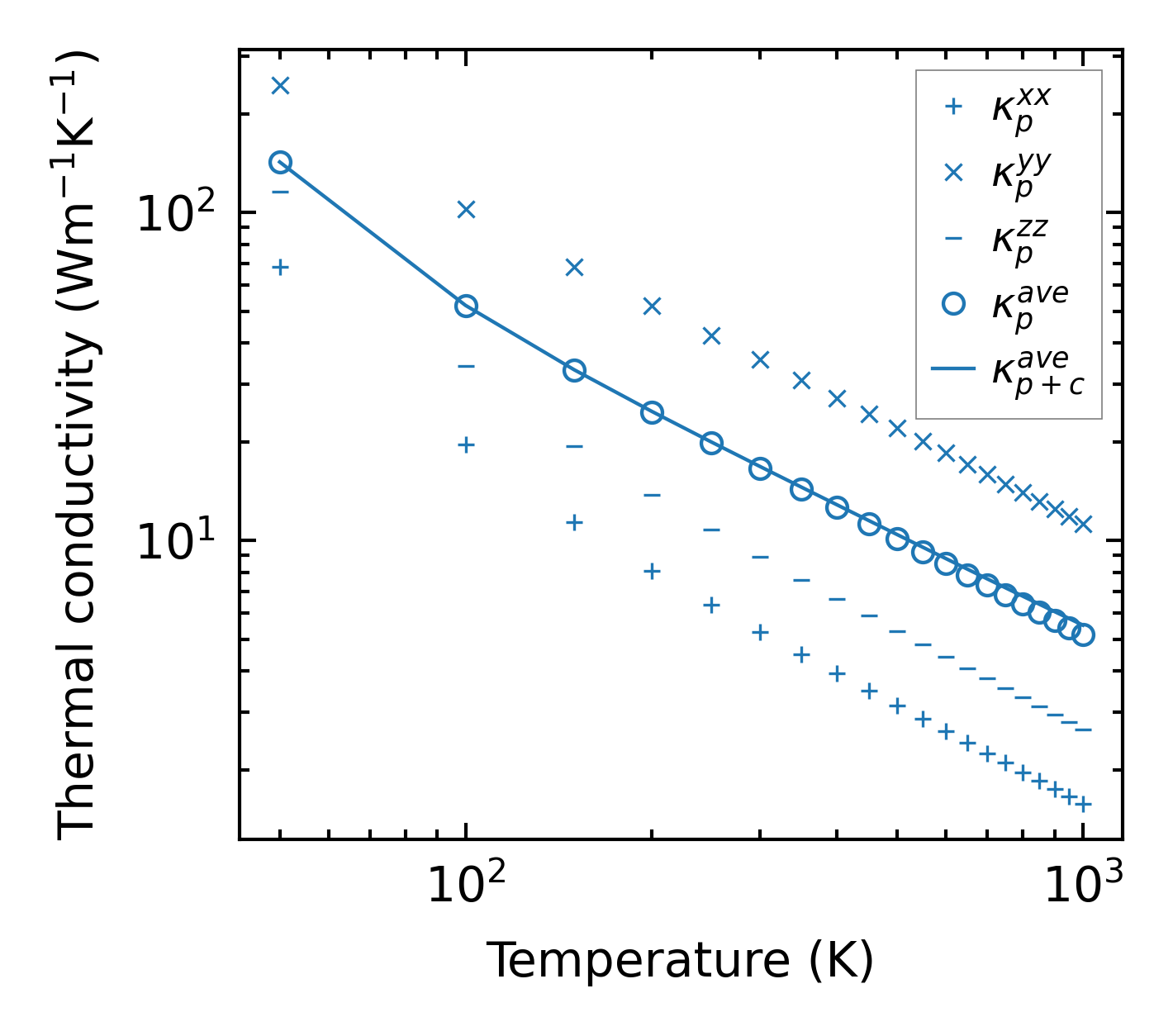
Summary

../../_images/fig_kappa7975.png

(a) Temperature-dependent lattice thermal conductivity

../../_images/fig_times17994.png

(b) Computation time