mp-4172/Na5GeP3/anharm

Harmonic properties

../../_images/fig_bandos_pr10347.png

(a) Phonon dispersion with participation ratio and DOS

../../_images/fig_thermo10347.png

(b) Thermodynamic properties

Grüneisen parameters

../../_images/fig_gru_all4177.png

(a) Grüneisen parameters

../../_images/fig_gruneisen4177.png

(b) Phonon dispersion with Grüneisen parameters

Thermal conductivity

3-phonon (LASSO) — q-mesh: 9x10x4, supercell: 2x2x1

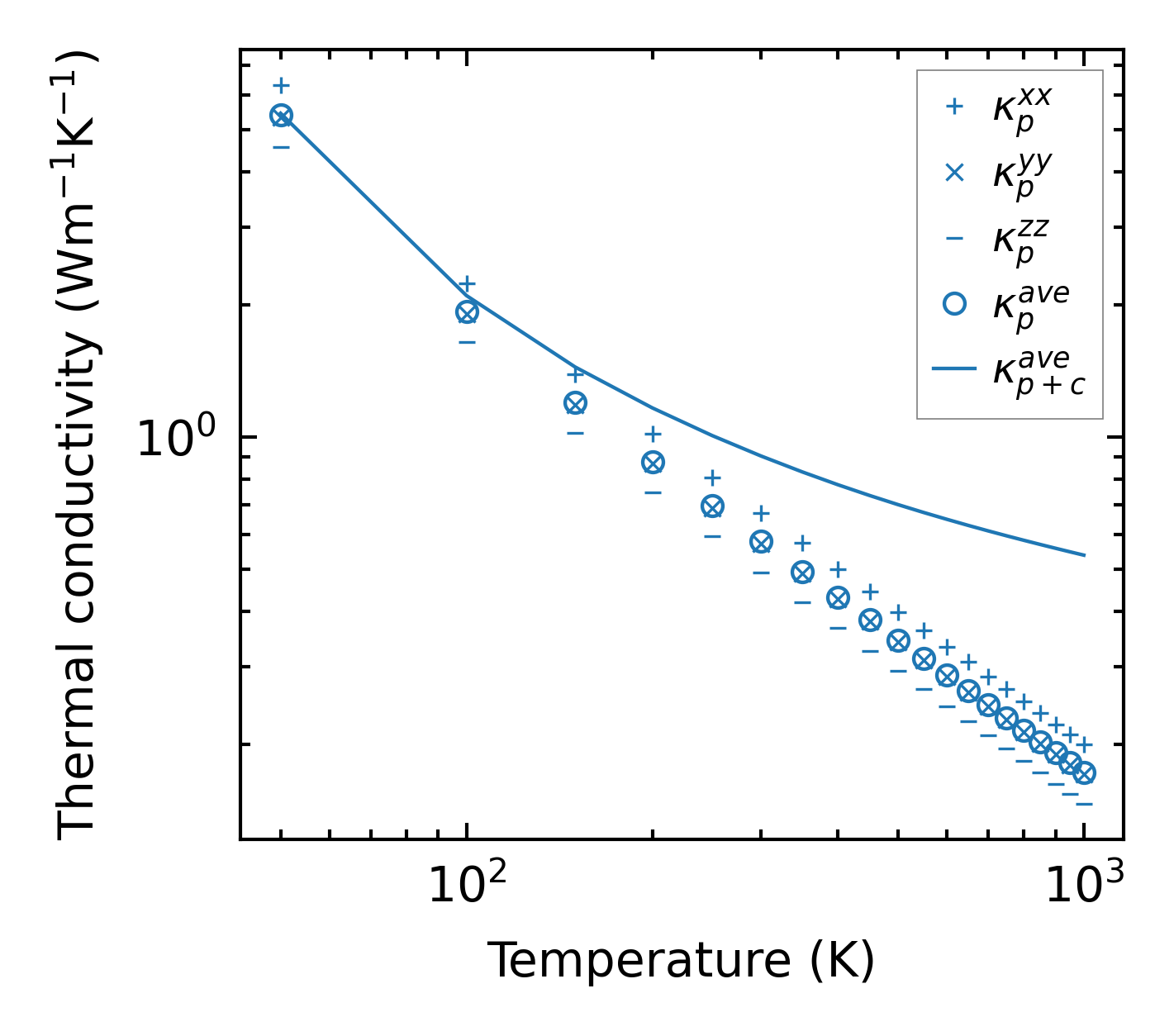
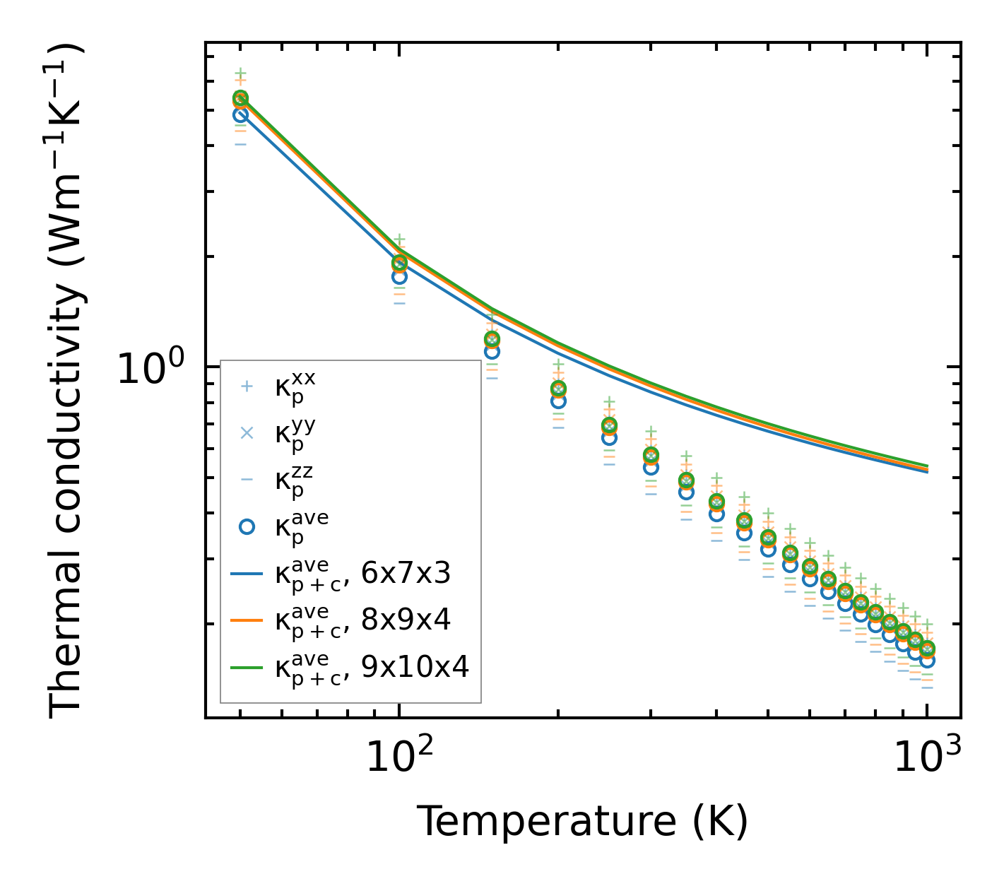
../../_images/fig_kappa7873.png

(a) Temperature-dependent lattice thermal conductivity

../../_images/fig_kappa_vs_grain_size4231.png

(b) Peierls lattice thermal conductivity w.r.t grain size

Phonon lifetime and scattering rates

../../_images/fig_lifetime4137.png

(a) Phonon lifetime due to phonon-phonon scattering

../../_images/fig_scat_rates4136.png

(b) Phonon scattering rates

Cumulative and spectral thermal conductivity

../../_images/fig_cumu_frequency4137.png

(a) Spectral and cumulative thermal conductivity w.r.t frequency

../../_images/fig_cumu_mfp4136.png

(b) Spectral and cumulative thermal conductivity w.r.t MFP

Force constants

../../_images/fig_fc210093.png

(a) Force constants w.r.t atomic distance

Summary

../../_images/fig_kappa7874.png

(a) Temperature-dependent lattice thermal conductivity

../../_images/fig_times17863.png

(b) Computation time