mp-4057/CsBF4/harm

Harmonic properties

../../_images/fig_bandos_pr10321.png

(a) Phonon dispersion with participation ratio and DOS

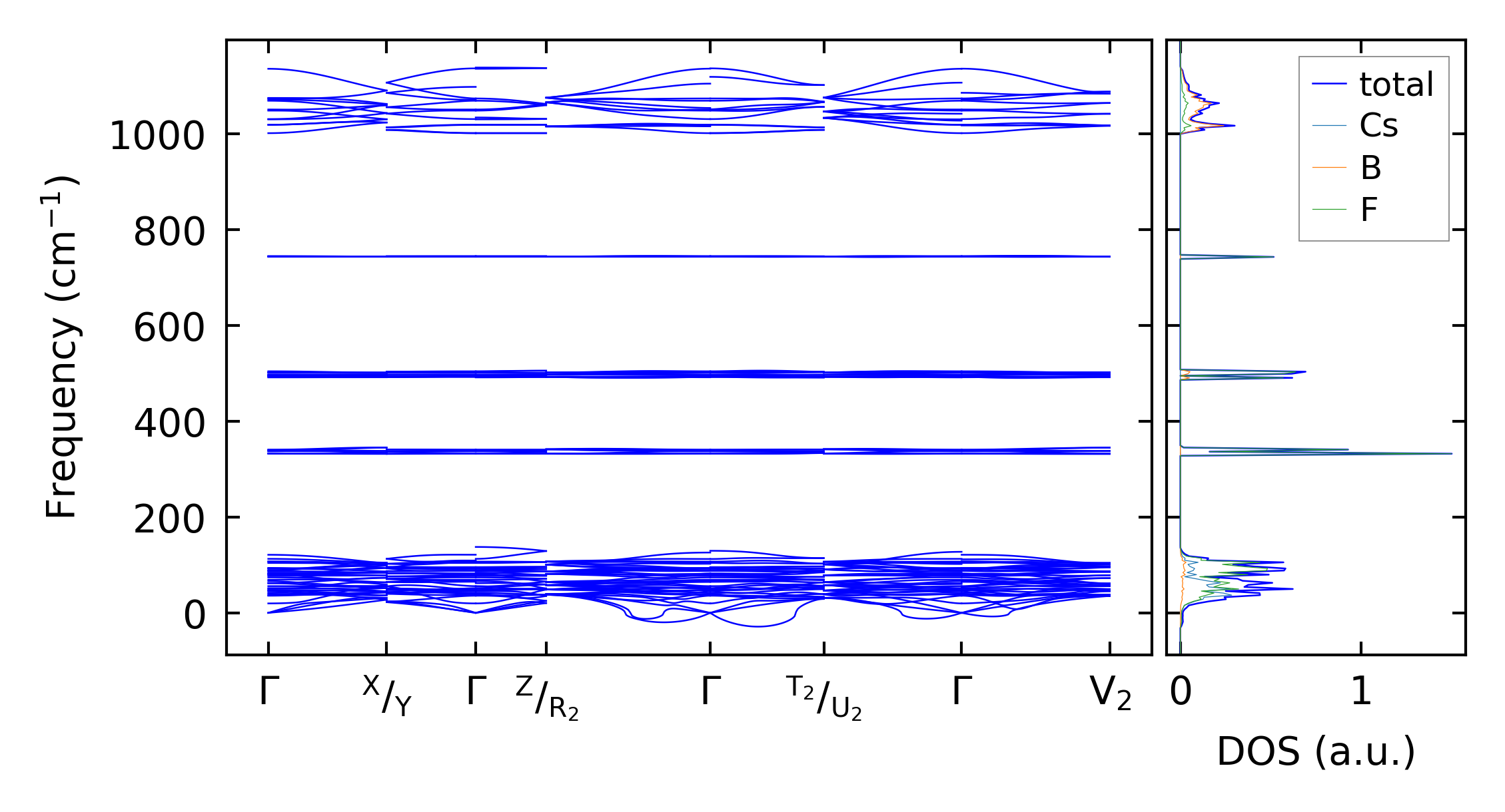
../../_images/fig_bandos14267.png

(b) Phonon dispersion and DOS

../../_images/fig_thermo10321.png

(c) Thermodynamic properties

Force constants

../../_images/fig_fc210069.png

(a) Force constants w.r.t atomic distance

Summary

../../_images/fig_times17824.png

(a) Computation time