mp-4514-2/NaNbO3/harm

Equation of state

../../_images/fig_bm5229.png

(a) Equation of state

Harmonic properties

../../_images/fig_bandos_pr10425.png

(a) Phonon dispersion with participation ratio and DOS

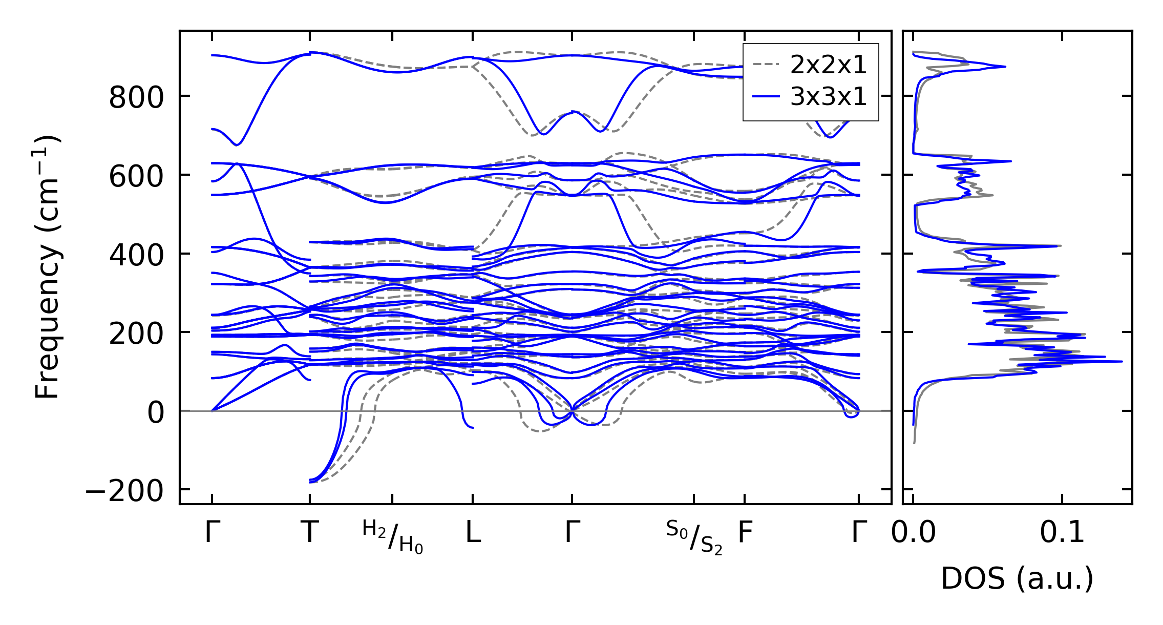
../../_images/fig_bandos14367.png

(b) Phonon dispersion and DOS

../../_images/fig_thermo10425.png

(c) Thermodynamic properties

Force constants

../../_images/fig_fc210168.png

(a) Force constants w.r.t atomic distance

Summary

../../_images/fig_times17979.png

(a) Computation time